Главная >> Физика 10 класс. Часть 1. Генденштейн. Дик

§ 34. Движение системы тел

Гладкая горка и шайба

Горка с одной вершиной

Пусть на гладком столе покоится гладкая горка массой М и высотой Н (рис. 34.1). На неё налетает со скоростью 0 шайба массой m. Двигаясь по горке, шайба не отрывается от неё.

    Рис. 34.1

Возможны три варианта развития событий.

    1) Шайба не достигнет вершины горки и соскользнёт по тому же склону (рис. 34.2).

    Рис. 34.2

    2) Шайба достигнет вершины горки в момент, когда их скорости относительно стола равны (рис. 34.3).

    Рис. 34.3

    3) Шайба «перевалит» через вершину горки и соскользнёт по другому склону (рис. 34.4).

    Рис. 34.4

Второй вариант — «пограничный». Поэтому с него и начнём: выясним, при каких значениях М, Н, m, υ0 он реализуется.

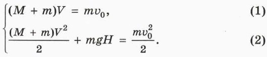
1. Объясните, почему в случае, когда горка и шайба в результате взаимодействия движутся как единое целое со скоростью , справедливы уравнения

2. Выразите общую скорость горки и шайбы V через М, Н, m.

П о д с к а з к а. Используя уравнение (1), выразите υ0 через М, m, V и подставьте в уравнение (2).

3. Используя полученную при выполнении предыдущего задания формулу, объясните, почему общая скорость горки и шайбы стремится к нулю, когда масса шайбы намного меньше массы горки.

4. На покоящуюся гладкую горку массой М и высотой Н налетает шайба массой m со скоростью 0. В результате взаимодействия горка и шайба стали двигаться как единое целое.

    а) Чему равна начальная скорость шайбы, если М = 1 кг, m = 100 г, Н = 20 см?

    б) Чему равна высота горки, если υ0 = 3 м/с, а масса шайбы в 2 раза меньше массы горки?

    в) Чему равна масса шайбы, если υ0 = 1 м/с, М = 2 кг, Н = 4 см?

Продолжение >>>

 

 

???????@Mail.ru