Главная >> Физика 10 класс. Часть 1. Генденштейн. Дик

§ 34. Движение системы тел

Ответы и указания к § 34: Движение системы тел

    4. а) 2,1 м/с. б) 30 см. в) 0,5 кг.

    5. а) 1,61 м/с. б) 0,37 м/с. в) 0,74 м/с, вправо: 0,87 м/с, влево.

    У к а з а н и е. См. § 32, уравнения (3)—(5).

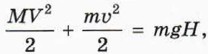
    7. Суммарная механическая энергия горки и шайбы и горизонтальная проекция их суммарного импульса.

    где и — скорости горки и шайбы в момент, когда шайба находится на второй вершине; найти можно проекции этих скоростей на горизонтально направленную ось х.

    9. 0,2 м/с; вправо, 1 м/с, влево.

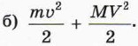
    10. Суммарная механическая энергия бруска и шайбы и горизонтальная проекция их суммарного импульса.

    11. MVx + mυx = 0; и — скорости бруска и шайбы в момент, когда шайба находится на дне выемки; найти можно проекции этих скоростей на горизонтально направленную ось х.

    12. 0,11.

    15. 200 г.

    18. 4,3 см.

    б) Нулю, в) -μ(m1 + m2)gl.

    20. 0,25

    б) υчт = υчр + υтр.

    22. a) mgl. в) 2,2 м/с; 0,55 м/с. 23. а) 3 м/с. б) 1,2 м/с. в) 3,3 см.

<<< К началу

 

 

???????@Mail.ru