Главная >> Физика 10 класс. Часть 1. Генденштейн. Дик

§ 34. Движение системы тел

Системы с пружиной

Пусть на гладком столе лежит груз массой М, к которому прикреплена пружина жёсткостью k (рис. 34.9). На эту систему налетает со скоростью 0 брусок массой m.

    Рис. 34.9

16. Каковы проекции конечных скоростей груза и бруска на ось х, изображённую на рисунке 34.9?

П о д с к а з к а. Для нахождения конечных скоростей груз и брусок можно рассматривать как тела, между которыми произошло упругое столкновение (см. § 32). Для ответа на этот вопрос не нужна жёсткость пружины.

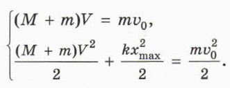
Деформация пружины максимальна в тот момент, когда брусок и груз сблизились на минимальное расстояние. При этом их скорости относительно стола равны. Обозначим xmax модуль деформации пружины, а V — общую скорость бруска и груза в этот момент.

17. Объясните, почему для этого момента справедливы следующие уравнения:

18. Чему равен модуль максимальной деформации пружины, если М = 1 кг, m = 300 г, k = 500 Н/м, υ0 = 2 м/с?

Рассмотрим теперь случай, когда надо учитывать трение.

Пусть на столе покоятся небольшие бруски массой m1 и m2 (рис. 34.10). Между ними находится сжатая пружина жёсткостью k, которая удерживается нитью в деформированном состоянии. Модуль деформации пружины равен х. Коэффициент трения между брусками и столом равен μ. Когда нить пережгли, бруски разъехались на расстояние l друг от друга. Будем считать, что размерами брусков и пружины можно пренебречь по сравнению с l.

    Рис. 34.10

19. Чему равны:

    а) начальная механическая энергия системы?

    б) конечная механическая энергия этой системы?

    в) работа силы трения скольжения?

20. Чему равен коэффициент трения μ, если m1 = 200 г, m2 = 300 г, k = 500 Н/м, х = 5 см, l = 50 см?

 

 

???????@Mail.ru