Главная >> Физика. 10 класс. Часть 2. Генденштейн

§ 43. Тепловые двигатели. Второй закон термодинамики

Пример расчёта КПД цикла (окончание)

5. Чему равна работа газа Аг в процессе а — b — с?

Подсказка. Воспользуйтесь тем, что работа газа численно равна площади фигуры под графиком зависимости p(V).

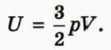
Для нахождения изменения внутренней энергии газа воспользуемся формулой (§ 42):

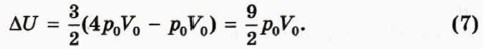
В состоянии с произведение давления газа на его объём равно 2р0 • 2V0 = 4p0V0, а в состоянии а это произведение равно p0V0. Следовательно,

6. Чему равно количество теплоты Q, полученное газом от нагревателя за один цикл?

Подсказка. Воспользуйтесь формулой (6), результатом задания 4 и формулой (7).

Для нахождения КПД осталось найти полезную работу газа за один цикл.

7. Чему равна полезная работа газа за один цикл?

Подсказка. Воспользуйтесь тем, что полезная работа численно равна площади, заключённой внутри цикла в координатах (р, V).

Теперь можно найти КПД данного цикла.

8. Чему равен КПД данного цикла?

Подсказка. Воспользуйтесь результатами заданий 5—7.

<<< К началу

 

 

???????@Mail.ru