Главная >> Физика. 10 класс. Часть 2. Генденштейн

§ 47. Применение первого закона термодинамики к газовым процессам

Циклические процессы (окончание)

15. Рассмотрим сначала изобарный процесс 1—2.

    а) Выразите работу газа через давление р в этом процессе и значения объёмов газа в состояниях 1 и 2.

    б) Выразите эту работу через число молей газа и значения абсолютной температуры в состояниях 1 и 2.

    в) Выразите изменение внутренней энергии газа в процессе 1 —2 через число молей газа и значения абсолютной температуры в состояниях 1 и 2.

    г) Выразите количество теплоты, полученное газом в процессе 1—2, через число молей газа и значения абсолютной температуры в состояниях 1 и 2.

    д) Как связано переданное газу количество теплоты с работой, совершённой газом?

16. Рассмотрим адиабатный процесс 2—3.

    а) Каково соотношение между работой газа в этом процессе и изменением его внутренней энергии?

    б) Выразите работу газа в этом процессе через число молей газа и значения абсолютной температуры в состояниях 2 и 3.

    в) Найдите соотношение между работой газа в процессе 1—2 и работой газа в процессе 2—3.

17. Рассмотрим изотермический процесс 3—1.

    а) Найдите соотношение между работой газа в этом процессе и количеством теплоты, полученным газом. Учтите, что в данном случае обе эти величины отрицательны.

    б) Выразите работу Авнеш, совершённую в этом процессе над газом, через количество теплоты Qхол, отданное газом холодильнику.

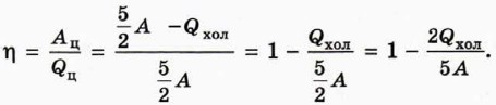
Используя результаты, полученные при выполнении предыдущих заданий, получаем, что работу Ац, совершённую газом за один цикл, можно выразить через заданные величины:

    Рис.

Количество теплоты, полученное при этом газом (напомним, что оно передавалось газу только на этапе 1—2), вы тоже нашли:

Следовательно,

<<< К началу

 

 

???????@Mail.ru