Главная >> Физика. 10 класс. Часть 2. Генденштейн

§ 47. Применение первого закона термодинамики к газовым процессам

Ответы и указания к § 47. Применение первого закона термодинамики к газовым процессам

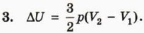
1. Нулю.

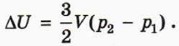
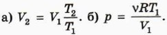
2.

г) Нулю,

6. а) Количество переданного газу количества теплоты больше при изобарном процессе в раза, б) При изохорном процессе вся подводимая к газу теплота идёт только на увеличение внутренней энергии газа, а при изобарном она расходуется также на работу газа при расширении.

7. График адиабатного процесса изображён линией 2 синего цвета. Указание. При адиабатном расширении газа его давление уменьшается быстрее, потому что понижается температура.

8. Работа больше при изотермическом расширении. Указание. Сравните графики зависимости p(V) для этих процессов и учтите, что совершённая газом работа численно равна площади под графиком этой зависимости.

9. Q = Аг.

10. а) 0,5 Дж. б) 0,5 Дж.

11. Аг + ΔU = 0.

12. а) Уменьшилась на 100 Дж. б) Понизилась на 4 К.

13. Газ совершает работу на этапах 1—2 и 2—3 (при расширении); над газом совершают работу на этапе 3—1 (при сжатии).

14. Только на этапе 1—2. Указание. В адиабатном процессе теплопередача отсутствует, а при изотермическом сжатии газ отдаёт тепло.

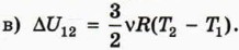
15. а) А12 = p(V2 - V1). 6) A12 = νR(T2 - T1).

16. а) A23 = -ΔU23. Указание. Воспользуйтесь первым законом термодинамики для адиабатного процесса, Указание. Воспользуйтесь тем, что Т3 = T1.

17. a) Q31 = А31. Указание. Воспользуйтесь первым законом термодинамики для изотермического процесса. б) Aвнеш = Qхол. Указание. Qхол = -Q31, Авнеш = -А31.

18. 0,36.

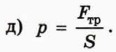
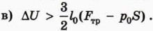
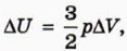
Указание. Воспользуйтесь тем, что для одноатомного газа при изохорном процессе а начальный объём газа равен l0S. Указание. Воспользуйтесь первым законом термодинамики для изохорного процесса, е) А = Fтрd. Указание. Воспользуйтесь тем, что при изобарном процессе и тем, что ΔV = Sd. Указание. Воспользуйтесь первым законом термодинамики.

20. б) Аг = 0; ΔU = -3νRT0; Q = -3νRT0. в) Аг = 2νRT0; ΔU = 3νRT0; Q = 5νRT0.

21. 15 %.

<<< К началу

 

 

???????@Mail.ru