Главная >> Физика. 10 класс. Часть 2. Генденштейн

§ 50. Закон сохранения электрического заряда. Закон Кулона

Закон Кулона

В дальнейшем мы будем часто использовать представление о точечном заряде. Так называют модель заряженного тела, если его размеры малы по сравнению с расстояниями до других тел, с которыми это тело взаимодействует.

    Шарль Кулон

Закон взаимодействия точечных зарядов установил на опыте французский физик Шарль Кулон в конце 18-го века.

На рисунке 50.6 изображена модель опытной установки Кулона.

    Рис. 50.6

К тонкой упругой нити подвешен горизонтально лёгкий стержень, на одном конце которого укреплён заряженный шарик, а на другом — противовес в виде бумажного кружка.

Второй одноимённо заряженный шарик укреплён на вертикальном неподвижном стержне. Вследствие электрического отталкивания шариков нить закручивается на некоторый угол, и по величине этого угла можно определить силу взаимодействия шариков.

Кулон установил, что

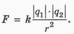
неподвижные точечные заряды q1 и q2 взаимодействуют в вакууме с силами, прямо пропорциональными модулям зарядов и обратно пропорциональными квадрату расстояния r между ними. Модуль каждой силы

    Модуль силы

При этом, как мы уже знаем, одноимённые заряды отталкиваются, а разноимённые — притягиваются. Это позволяет определить направление силы.

Измерения показали, что k = 9 • 109 Н • м2/Кл2.

Огромное численное значение коэффициента k характеризует интенсивность электрических взаимодействий.

Теперь мы можем сравнить электрические взаимодействия с гравитационными.

7. Во сколько раз сила электрического отталкивания двух электронов больше, чем сила их гравитационного притяжения? Масса электрона равна 9,1 • 10-31 кг. Почему в этом задании не указано расстояние между электронами?

Продолжение >>>

 

 

???????@Mail.ru