Главная >> Физика. 10 класс. Часть 2. Генденштейн

§ 39. Газовые процессы

Изобарный процесс (при постоянном давлении) (окончание)

1. Какому значению абсолютной температуры соответствуют:

    а) комнатная температура (20 °С);

    б) температура кипения воды при атмосферном давлении?

Чтобы изобразить графически зависимость объёма газа V от его абсолютной температуры Т, достаточно сдвинуть шкалу температур на рисунке 39.2 на 273 градуса влево. В результате получится график, представленный на рисунке 39.4.

Мы видим, что при постоянном давлении объём данной массы газа прямо пропорционален абсолютной температуре.

    Рис. 39.4

Это означает, что

при изобарном процессе отношение объёма данной массы газа к его абсолютной температуре остаётся постоянным:

    закон Гей-Люссака

Это соотношение называют законом Гей-Люссака в честь французского учёного, исследовавшего изобарный процесс.

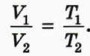
График зависимости V от Т при постоянном давлении называют изобарой. Из закона Гей-Люссака следует, что для двух состояний данной массы газа при постоянном давлении

Например, если абсолютная температура увеличивается в 3 раза, объём газа увеличивается тоже в 3 раза.

При решении задач надо обязательно обращать внимание на то, по какой шкале задана температура газа в условии. Если по шкале Цельсия, то первое, что надо сделать, — выразить все значения температуры по абсолютной шкале.

2. Данная масса газа расширяется изобарно. Начальная и конечная температуры газа 20 °С и 200 °С.

    а) Во сколько раз увеличилось значение абсолютной температуры газа?

    б) Во сколько раз увеличился объём газа?

    в) Изобразите график зависимости V(T) для данного процесса.

3. Объясните, почему графики, изображённые на рисунке 39.5, являются графиками одного и того же изобарного процесса с данной массой газа в координатах (V, Т), (р, Т) и (р, V).

    рис. 39.5

4. Изобразите графики процесса, описанного в задании 2, в координатах (р, Т) и (р, V).

<<< К началу

 

 

???????@Mail.ru