Главная >> Физика. 10 класс. Часть 2. Генденштейн

§ 56. Движение заряженного тела в электрическом поле

Ответы и указания к § 56. Движение заряженного тела в электрическом поле

1. Согласно второму закону Ньютона ускорение тела определяется действующей на него силой и массой тела.

2. Начальная скорость равна нулю или направлена вдоль линий напряжённости поля.

3. а) Совпадает, б) Не изменилась, в) Потенциальная энергия увеличилась на 8 • 10-17 Дж. г) Кинетическая энергия уменьшилась на 8 • 10-17 Дж. д) 1,3 • 107 м/с.

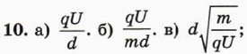
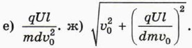
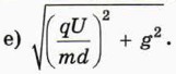
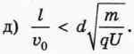
4. а) 318 В. б) 8 • 106 м/с. в) 104 В/м. г) 3,6 см.

5. а) 104 В/м. б) На 0,05 мм. в) 1,8 • 107 м/с и 9,6 • 103 м/с.

6. По параболе.

7. а) ax = 0; Указание. Поскольку речь идёт о движении частицы, действие силы тяжести можно не учитывать. Напряжённость поля в конденсаторе равна по модулю б) υ1 = υ0; в) x = υ0t;

8. а) Больше 142 В. б) На положительную. в) 1,5 мм. г) 0,07. д) Уменьшится на 5,6 • 10-18 Дж. е) На 0,5 %.

9. Положительный; отрицательный.

отрицательный. г) На д) Прямолинейная. Указание. Начальная скорость шарика равна нулю; равнодействующая приложенных к нему сил постоянна, Указание. Воспользуйтесь результатом предыдущего пункта задания.

При положительном, б) g, вверх; 3g, вниз, в) При любом знаке. Указание. Чтобы крупинка пролетела сквозь весь конденсатор, её смещение в направлении, перпендикулярном пластинам, не должно превышать 5 мм.

12. В 4 раза.

<<< К началу           Главное в 6 главе >>>

 

 

???????@Mail.ru