Главная >> Физика. 10 класс. Часть 2. Генденштейн

§ 58. Работа и мощность тока

Мощность тока

Мощностью тока Р называют отношение работы тока А к промежутку времени t, в течение которого эта работа совершена:

    Мощностью тока

Единица мощности — ватт (Вт). Мощность тока равна 1 Вт, если совершаемая током за 1 с работа равна 1 Дж. Часто используют производные единицы, например киловатт (кВт).

7. Докажите, что мощность тока можно выразить формулами

    мощность тока можно выразить формулами

Подсказка. Воспользуйтесь формулой (4) и законом Ома для участка цепи.

8. Какой из формул (5)—(7) удобнее пользоваться сравнении мощности тока: при

    а) в последовательно соединённых проводниках?

    б) в параллельно соединённых проводниках?

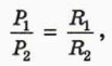
9. Имеются проводники сопротивлением R1 и R2. Объясните, почему при последовательном соединении этих проводников

а при параллельном

10. Сопротивление первого резистора 100 Ом, а второго — 400 Ом. В каком резисторе мощность тока будет больше и во сколько раз больше, если включить их в цепь с заданным напряжением:

    а) последовательно?

    б) параллельно?

    в) Чему будет равна мощность тока в каждом резисторе при параллельном соединении, если напряжение в цепи 200 В?

    г) Чему при том же напряжении цепи равна суммарная мощность тока в двух резисторах, если они соединены: последовательно? параллельно?

Окончание >>>

 

 

???????@Mail.ru