Главная >> Физика. 10 класс. Часть 2. Генденштейн

§ 59. Закон Ома для полной цепи

КПД источника тока

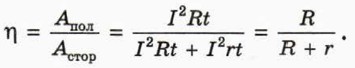
Работу тока во внешней цепи называют полезной работой. Обозначим её Апол. Используя формулу для работы тока, получаем:

    Апол = I2Rt.

Поскольку источник обладает внутренним сопротивлением, полезная работа меньше работы сторонних сил, потому что часть работы сторонних сил расходуется на выделение в источнике тока количества теплоты I2rt. Поскольку

    Астор = I2Rt + I2rt,

получаем для отношения полезной работы к работе сторонних сил:

    Рис.

Это отношение, выраженное в процентах, называют КПД источника тока.

8. При каком отношении внешнего сопротивления к внутреннему сопротивлению КПД источника тока равен: 50 %; 80 % ? Почему случай, когда КПД источника тока равен 100 %, не представляет практического интереса?

    Что мы узнали

Вопросы и задания >>>

 

 

???????@Mail.ru