Главная >> Физика. 10 класс. Часть 2. Генденштейн

§ 60. Электрический ток в различных средах

Дополнительные вопросы и задания к § 60. Электрический ток в различных средах

    Что мы узнали

Дополнительные вопросы и задания

На рисунке 60.19 изображена схема электрической цепи с несколькими резисторами и диодами. Все резисторы имеют одинаковое сопротивление r, равное внутреннему сопротивлению источника тока. ЭДС источника тока . Примите, что сопротивлением диода при прямом подключении можно пренебречь, а его сопротивление при обратном подключении считайте бесконечно большим.

    а) Перенесите чертёж в тетрадь и укажите на нём цветными стрелками направление электрического тока в каждом элементе цепи.

    б) Чему равно сопротивление всей цепи?

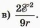
    в) Чему равна мощность, выделяющаяся во внешней цепи?

    г) Чему равен КПД источника?

    д) Выполните задания а) — г) при другой полярности подключения того же источника тока.

Ответы и указания

    2. Сурьма, фосфор; индий, скандий, галлий.

    3. а) Через первый, через второй, б) 4 Ом, 6 Ом. в) 3 А, 2 А; 36 Вт, 24 Вт.

    4. б) 3г. г) 67 %.

<<< К началу

 

 

???????@Mail.ru