Главная >> Физика. 10 класс. Часть 2. Генденштейн

Лабораторные работы

Проверка уравнения состояния идеального газа

Цель работы: экспериментально проверить уравнение состояния идеального газа (соотношение между объёмом, давлением и температурой газа), приняв, что воздух в хорошем приближении можно рассматривать как идеальный газ.

Оборудование: стеклянная трубка (можно использовать пробирку), пробка; два стеклянных цилиндрических сосуда; барометр; термометр; линейка; горячая и холодная вода.

Описание работы

Сначала стеклянную трубку опускают закрытым концом вниз в сосуд с горячей водой, чтобы воздух внутри трубки нагрелся до температуры T1, равной температуре горячей воды (рис. 2). При этой температуре объём воздуха в трубке V1 = l1S, где l1 — её длина, S — площадь поперечного сечения. При этом давление воздуха в трубке р1 = рa.

    Рис. 2

Затем трубку закрывают, переворачивают и опускают в сосуд с холодной водой так, чтобы запаянный конец трубки находился на уровне воды (рис. 3). Через некоторое время воздух в трубке охладится до температуры холодной воды Т2, вследствие чего его объём V и давление р изменятся. Во втором состоянии объём воздуха можно вычислить по формуле V2 = l2S, где l2 — длина столба воздуха в трубке. Давление воздуха во втором состоянии равно сумме атмосферного давления и давления водяного столба, высота которого тоже равна l2:

    p2 = pa + ρgl2,

где ρ — плотность воды.

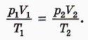
Согласно уравнению состояния идеального газа должно выполняться соотношение

Отсюда следует, что

Цель работы — проверить на опыте, с какой точностью выполняется это равенство.

Ход работы

1. Измерьте длину трубки l1 Запишите результат этого и всех последующих измерений в таблицу, заголовок которой приведён ниже.

2. В сосуд с горячей водой опустите открытую трубку закрытым концом вниз на 1—2 мин. Измерьте температуру Т1 горячей воды. Не забудьте перевести температуру в шкалу Кельвина.

3. Закрыв трубку резиновой пробкой, опустите её пробкой вниз в сосуд с холодной водой. Под водой выньте пробку и опустите трубку так, чтобы её закрытый конец находился на уровне воды (см. рис. 3). Измерьте температуру Т2 холодной воды и длину столба воздуха в трубке l2.

4. Определите давление рх воздуха в трубке в первом состоянии по показаниям барометра, а давление воздуха в трубке во втором состоянии — по формуле р2 = ра + ρgl2.

5. Сделайте необходимые расчёты и заполните все столбцы таблицы. Расчёты запишите.

6. Сравните значения дробей в двух последних столбцах таблицы и запишите выводы.

 

 

???????@Mail.ru