Главная >> Физика. 10 класс. Часть 2. Генденштейн

Лабораторные работы

Определение ЭДС и внутреннего сопротивления источника тока

Цель работы: измерить ЭДС и внутреннее сопротивление батарейки.

Оборудование: батарейка, амперметр, вольтметр, реостат, ключ, соединительные провода.

Описание работы

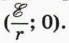
Используя закон Ома для полной цепи, напряжение на полюсах источника тока можно выразить через ЭДС источника , силу тока в цепи I и внутреннее сопротивление источника г с помощью соотношения (§ 59):

    Рис. 5

    U = - lr.

Из этой формулы следует, что график зависимости U(I) представляет собой прямую, которая пересекает оси координат в точках (0; ) и

Ход работы

1. Соберите электрическую цепь по схеме, представленной на рисунке 6.

    Рис. 6

2. Измерьте силу тока в цепи и напряжение на полюсах источника при нескольких положениях ползунка реостата (сделайте не менее четырёх измерений). Результаты измерений запишите в таблицу, заголовок которой приведён ниже.

3. Начертите в тетради оси координат I и U и нанесите полученные на опыте точки на координатную плоскость.

4. Используя прозрачную линейку, проведите через отмеченные точки прямую так, чтобы отклонения точек от этой прямой были наименьшими.

5. Найдите точки пересечения этой прямой с осями координат. По ним определите значения ЭДС источника и его внутреннего сопротивления r. Запишите полученные результаты.

6. Проверьте: совпадает ли полученное вами значение ЭДС источника с показаниями вольтметра при разомкнутых полюсах источника. Сделайте соответствующий вывод.

7. Запишите выводы из эксперимента.

 

 

???????@Mail.ru