Главная >> Физика 10 класс. Мякишев

Глава 15. Законы постоянного тока

Работа и мощность постоянного тока

Объясните, почему в отсутствие тока при столкновениях свободных электронов с ионами решётки энергия последних не увеличивается.

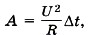
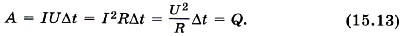
Если в формуле (15.12) выразить либо напряжение через силу тока, либо силу тока через напряжение с помощью закона Ома для участка цепи, то получим три эквивалентные формулы

    Получим три эквивалентные формулы

Формулой A = I2RΔt удобно пользоваться при последовательном соединении проводников, так как сила тока в этом случае одинакова во всех проводниках. При параллельном соединении удобна формула так как напряжение на всех проводниках одинаково.

Закон Джоуля—Ленца

Закон, определяющий количество теплоты, которую выделяет проводник с током в окружающую среду, был впервые установлен экспериментально английским учёным Д. Джоулем (1818—1889) и русским учёным Э. X. Ленцем (1804— 1865).

Закон Джоуля—Ленца
Количество теплоты, выделяемой в проводнике с током, равно произведению квадрата силы тока, сопротивления проводника и времени прохождения тока по проводнику:

    Q = I2RΔt.                     (15.14)

Как можно экспериментально проверить закон Джоуля—Ленца? Предложите схему опыта.

Мы получили этот закон с помощью рассуждений, основанных на законе сохранения энергии. Формула (15.14) позволяет вычислить количество теплоты, выделяемой на любом участке цепи, содержащем какие угодно проводники.

Мощность тока

Любой электрический прибор (лампа, электродвигатель и т. д.) рассчитан на потребление определённой энергии в единицу времени. Поэтому наряду с работой тока очень важное значение имеет понятие мощность тока.

Важно
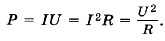
Мощность тока равна отношению работы тока ко времени прохождения тока. Согласно этому определению мощность тока

    Мощность тока

Электрическая мощность, так же как и механическая, выражается в ваттах (Вт).

Это выражение для мощности тока можно переписать в нескольких эквивалентных формах, используя закон Ома для участка цепи:

    Выражение для мощности тока можно переписать в нескольких эквивалентных формах

<<< К началу      Окончание >>>

 

 

???????@Mail.ru