Главная >> Физика 10 класс. Мякишев

Глава 15. Законы постоянного тока

Примеры решения задач по теме «Работа и мощность постоянного тока. Закон Ома для полной цепи»

Задача 4. Определите силу тока короткого замыкания для источника, который при силе тока в цепи I1 = 10 А имеет полезную мощность Р1 = 500 Вт, а при силе тока I2 = 5 А — мощность Р2 = 375 Вт.

Р е ш е н и е. Сила тока короткого замыкания Полезная мощность Р = IU, где U — напряжение на зажимах источника, или падение напряжения на внешнем участке цепи. Напряжения на зажимах источника в первом и во втором случаях

    Напряжения на зажимах источника в первом и во втором случаях

Вычтем почленно из первого выражения второе:

    Вычтем почленно из первого выражения второе

откуда определим

ЭДС источника тока

    ЭДС источника тока

Окончательно для силы тока короткого замыкания

    Силы тока короткого замыкания

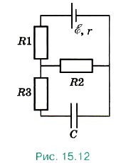
Задача 5. Конденсатор ёмкостью 2 мкФ включён в цепь (рис. 15.12), содержащую три резистора и источник постоянного тока с ЭДС 3,6 В и внутренним сопротивлением 1 Ом. Сопротивления резисторов R1 = 4 Ом, R2 = 7 Ом, R3 = 3 Ом. Чему равен заряд на правой обкладке конденсатора?

    Конденсатор ёмкостью 2 мкФ включён в цепь содержащую три резистора и источник постоянного тока с ЭДС 3,6 В и внутренним сопротивлением 1 Ом

Р е ш е н и е. Участок цепи, в котором находится конденсатор, разомкнут, и ток через резистор R3 не идёт.

Разность потенциалов между пластинами конденсатора равна падению напряжения на резисторе R2: U = IR2.

Сила тока, идущего по цепи, согласно закону Ома равна

Заряд на обкладках конденсатора

    Заряд на обкладках конденсатора

На правой обкладке конденсатора накопится отрицательный заряд, так как она подключена к отрицательному полюсу источника.

Задача 6. Определите параметры источника тока, если известно, что максимальная мощность, равная 40 Вт, выделяется при подключении резистора сопротивлением 10 Ом.

Р е ш е н и е. Максимальная мощность выделяется при равенстве внешнего и внутреннего сопротивлений, следовательно, R = r = 10 Ом.

Мощность определяется формулой Р = I2R, или с учётом закона Ома:

    Мощность определяется формулой

Тогда ЭДС источника

    Тогда ЭДС источника

<<< К началу      Окончание >>>

 

 

???????@Mail.ru