Главная >> Физика 10 класс. Мякишев

Глава 16. Электрический ток в различных средах

Примеры решения задач по теме: Электрический ток в различных средах

Задача 4. Определите электрическую энергию, затраченную на получение серебра массой 200 г, если КПД установки 80%, а электролиз проводят при напряжении 20 В. Электрохимический эквивалент серебра равен

Р е ш е н и е. Энергия, идущая только на электролиз, равна:

    W'э = qU.                     (1)

Согласно закону Фарадея m = kq, откуда

Подставив выражение для q в формулу (1), получим

Полная затраченная энергия Wэ связана с W'э выражением следовательно,

Задача 5. Объясните, почему при дуговом разряде при увеличении силы тока напряжение уменьшается.

Р е ш е н и е. При увеличении силы тока возрастает термоэлектронная эмиссия с катода, носителей заряда становится больше, а следовательно, сопротивление промежутка между электродами уменьшается. При этом уменьшение сопротивления происходит быстрее, чем увеличение силы тока (в газах нарушается линейный закон Ома U = IR), поэтому напряжение уменьшается.

Задача 6. Покажите, что при упругом столкновении электрона с молекулой электрон передаёт ей меньшую энергию, чем при абсолютно неупругом ударе.

Р е ш е н и е. При прямом абсолютно упругом столкновении электрона с молекулой выполняются законы сохранения энергии и импульса:

    При прямом абсолютно упругом столкновении электрона с молекулой выполняются законы сохранения энергии и импульса

где me и m — массы электрона и молекулы; υ1 и υ2 — их скорости после столкновения. Решая эту систему относительно υ1 и υ2, получаем

Энергия, передаваемая молекуле, Так как me << m, то можно записать, что (me + m)2 ≈ m2. Тогда

Из полученного выражения следует, что молекуле передаётся очень маленькая часть первоначальной энергии электрона, так как me << m.

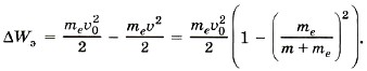
При неупругом столкновении выполняется только закон сохранения импульса meυ0 = (m + me)υ, и, таким образом, электрон теряет энергию

    Электрон теряет энергию

Так как me << m, мы можем считать, что дробь в скобках равна нулю, откуда т. е. при неупругом столкновении электрон полностью передаёт свою энергию молекуле.

<<< К началу      Окончание >>>

 

 

???????@Mail.ru