Главная >> Физика 10 класс. Мякишев

Лабораторная работа № 4

Изучение движения тела, брошенного горизонтально

Цель работы

Проверить закон независимости движений на примере движения тела, брошенного горизонтально.

Оборудование

Небольшой шарик, жёлоб, линейка, секундомер, указка, ящик с песком.

Порядок выполнения работы

Работу должны выполнять двое учащихся.

1. Поставьте на поверхность стола жёлоб, по которому будет катиться шарик, таким образом, чтобы его конец совпал с концом стола.

2. Измерьте высоту h, с которой будет падать шарик, как только он оторвётся от поверхности жёлоба.

3. Первый учащийся ударяет указкой по шарику так, чтобы он двигался по жёлобу.

Второй учащийся включает секундомер, когда шарик оторвётся от жёлоба, и выключает, когда услышит удар о пол.

4. Два раза, изменив силу, с которой вы ударяете шарик, измените его скорость. Измерьте время падения шарика.

5. Поставьте ящик с песком в месте, где предположительно упадёт шарик. Ударьте по шарику и определите расстояние l от стола до точки падения.

6. Передвиньте ящик и ударьте по шарику слабее. Измерьте расстояние от стола то точки падения шарика.

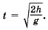
7. Зная высоту h, с которой падал шарик, и ускорение свободного падения, вычислите время движения шарика Сравните рассчитанное значение времени падения со средним временем падения, определённым из опыта. Сделайте вывод.

8. Определите из формулы l = υ0t начальную скорость шарика для каждого из измеренных значений дальности полёта.

9. Результаты измерений и вычислений занесите в таблицу 6.

    Результаты измерений и вычислений занесите в таблицу 6

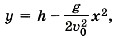
Выбрав правильный масштаб по осям ОХ и OY и воспользовавшись уравнением траектории постройте траекторию движения шарика для одного из найденных значений начальной скорости.

 

 

???????@Mail.ru