Главная >> Физика 10 класс. Мякишев

Глава 3. Силы в механике

§ 31. Первая космическая скорость

    Что такое искусственные спутники Земли?

    Какое назначение они имеют?

Вычислим скорость, которую надо сообщить искусственному спутнику Земли, чтобы он двигался по круговой орбите на высоте h над Землёй.

На больших высотах воздух сильно разрежен и оказывает незначительное сопротивление движущимся в нём телам. Поэтому можно считать, что на спутник массой m действует только гравитационная сила , направленная к центру Земли (рис. 3.8).

    гравитационная сила

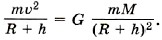
Согласно второму закону Ньютона mцс = .

Центростремительное ускорение спутника определяется формулой где h — высота спутника над поверхностью Земли. Сила же, действующая на спутник, согласно закону всемирного тяготения определяется формулой где M — масса Земли.

Подставив найденные выражения для F и а в уравнение для второго закона Ньютона, получим

Отсюда

    Из полученной формулы следует, что скорость спутника зависит от его расстояния от поверхности Земли

Из полученной формулы следует, что скорость спутника зависит от его расстояния от поверхности Земли: чем больше это расстояние, тем с меньшей скоростью он будет двигаться по круговой орбите. Примечательно то, что эта скорость не зависит от массы спутника. Значит, спутником Земли может стать любое тело, если ему сообщить определённую скорость. В частности, при h = 2000 км = 2 • 106 м скорость υ ≈ 6900 м/с.

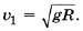
Подставив в формулу (3.7) значение G и значения величин М и R для Земли, можно вычислить первую космическую скорость для спутника Земли:

    υ1 ≈ 8 км/с.

Докажите, что первую космическую скорость можно рассчитать, по формуле

Окончание >>>

 

 

???????@Mail.ru