Главная >> Физика 10 класс. Мякишев

Глава 3. Силы в механике

§ 35. Примеры решения задач по теме: Силы упругости. Закон Гука (окончание)

В проекциях на выбранные оси координат запишем: на ось ОХ: m1а1 = Т;

на ось OY:

Так как нить нерастяжима, то модули ускорений равны: а1 = а2 = а.

В силу условия малых масс пружины, нити и блока можно записать: T2 = Fупр и Т1 = Т2 = Т.

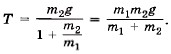
Учтя последние равенства, систему уравнений (1) запишем в виде

Выразив ускорение из первого уравнения системы и подставив его во второе, получим Из этого уравнения найдём силу натяжения нити:

Так как согласно закону Гука Fупр = kx, то

Тогда удлинение пружины

Задачи для самостоятельного решения

1. К динамометру привязан груз массой 2 кг. Динамометр с грузом опускают с ускорением 3 м/с2. Жёсткость пружины 103 Н/м. Определите модуль растяжения пружины динамометра.

2. К бруску массой 1 кг, находящемуся на гладкой горизонтальной поверхности, прикреплены две пружины (рис. 3.20). Жёсткость правой пружины 2 • 103 Н/м, левой — в 2 раза меньше. Чему равно отношение удлинений пружин в случае, когда брусок неподвижен?

    Определите длину пружины в недеформированном сотоянии

3. Ящик массой 100 кг удерживается на наклонной плоскости на высоте 0,5 м закреплённой у основания пружиной, жёсткость которой равна 104 Н/м (рис. 3.21). Определите длину пружины в недеформированном сотоянии. Угол у основания наклонной плоскости равен 30°. Трением можно пренебречь.

4. К нижнему концу лёгкой пружины подвешены связанные невесомой нитью грузы: верхний массой m1 = 0,5 кг и нижний массой m2 = 0,2 кг. Нить, соединяющую грузы, пережигают. Определите проекцию ускорения на направленную вниз ось OY, с которым начнёт двигаться верхний груз.

<<< К началу

 

 

???????@Mail.ru