Главная >> Физика 10 класс. Мякишев

Глава 3. Силы в механике

Примеры решения задач по теме «Силы трения»

Согласно второму закону Ньютона

    m = m + N + тp + .                     (1)

В проекциях на оси ОХ и OY уравнение имеет вид

    mа = Т - mg sinα - тp;                     (2)
    0 = N - mg cosα.                     (3)

Сила трения скольжения тp = μN.

Из уравнения (3) получим N = mg cosa.

Уравнение (2) перепишем в виде mа = Т - mg sinα - μmg cosα.

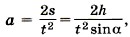
Ускорение определим из уравнения движения при этом

    Уравнение

Задача 4. Девочка тянет равномерно по снегу нагруженные санки массой 40 кг. Коэффициент трения санок о снег 0,04. Определите, под каким углом должна быть расположена верёвка, чтобы её натяжение было минимально.

Р е ш е н и е. На санки действуют сила натяжения верёвки н, сила тяжести m, сила нормальной реакции опоры и сила трения тp (рис. 3.29). Согласно второму закону Ньютона для санок запишем:

    m = m + + тp + н. (1)

Так как движение по условию равномерное, то ускорение а = 0.

Запишем уравнение (1) в проекциях на горизонтальное и вертикальное направления:

    0 = Fн cosα - Fтp;                     (2)
    0 = Fнsinα + N - mg.                     (3)

Из уравнения (3) получим N = mg - Fн sinα.

Подставив в уравнение (2) выражение для силы трения

    Fтp = μx(mg - Fн sinα), получим Fн cosα - μx(mg - Fн sinα) = 0.

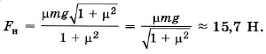
Для силы натяжения имеем

Сила натяжения минимальна при максимальном значении суммы cosα + μsinα = ƒ(α).

Исследуем функцию на экстремум: ƒ' = -sinα + μcosα = 0.

Получим tgα = μ. Тогда

Выразим cosa через tgα:

Окончательно для силы натяжения получим

Задача 5. Брусок массой 5 кг тянут по поверхности стола, взявшись за кольцо динамометра. При этом ускорение тела равно 0,5 м/с2. Жёсткость пружины равна 200 Н/м Определите растяжение пружины. Коэффициент трения бруска о стол 0,05.

Р е ш е н и е. На брусок действуют сила тяжести m, сила трения тp, сила натяжения пружины yпp и сила нормальной реакции опоры (рис. 3.30).

    На брусок действуют сила тяжести

Согласно второму закону Ньютона

    m= m + + тp + yпp.

В проекции на горизонталь уравнение запишем в виде mа = Fyпp - Fтp.

Сила трения Fтp = μN = μmg.

Сила упругости Fyпp = -kx.

Тогда mа = kx - μmg.

Удлинение пружины

Задача 6. Два бруска массами m1 = 1 кг и m2 = 3 кг соединены нерастяжимой нитью, перекинутой через блок. Брусок с большей массой находится на наклонной плоскости, угол у основания которой равен 30°, коэффициент трения равен 0,04. Определите ускорение брусков.

Р е ш е н и е. На первый брусок действуют сила натяжения нити 1 и сила тяжести m1 (pиc. 3.31). На второй брусок действуют сила натяжения нити 2, сила тяжести m2, сила трения тp и сила нормальной реакции опоры .

    Рассматриваем движение тел относительно одного тела отсчёта

<<< К началу      Окончание >>>

 

 

???????@Mail.ru