Главная >> Физика 10 класс. Мякишев

Глава 4. Закон сохранения импульса

Примеры решения задач по теме «Закон сохранения импульса»

Р е ш е н и е. Так как скорости 1 и 2 шариков взаимно перпендикулярны, то оси прямоугольной системы координат удобно направить параллельно этим скоростям.

Согласно закону сохранения импульса имеем

    m11 + m22 = (m1 + m2).

Запишем это уравнение в проекциях на оси ОХ и OY, проведённые так, как показано на рисунке 4.3:

    m1υ1x + m2υ2x = (m1 + m2х,
    m2υ1y + m2υ2y = (m1 + m2у.

Так как υ1x = υ1, υ2x = 0, υ1y = 0, υ2y = υ2y = υ2, то

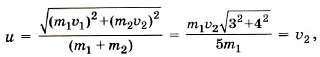
Модуль скорости и равен

Итак, υ2 = и, следовательно, υ1 = 3и.

Можно эту задачу решить так. Импульсы 1 и 2 тел взаимно перпендикулярны, поэтому согласно закону сохранения импульса и теореме Пифагора (m1υ2)2 + (m2 + m2)2 = (m1 + m2)2и2.

Тогда и, следовательно, υ1 = 3и.

Задача 3. Компоненты топлива в двигатель ракеты подаются со скоростью υ1 = 200 м/с, а горючий газ выходит из сопла со скоростью υ2 = 500 м/с.

Массовый расход топлива двигателем Определите реактивную силу.

Р е ш е н и е. Изменение импульса топлива массой Δm за время Δt равно

    Δmυ2 - Δmυ1 = FΔt.

Тогда сила, подействовавшая на горючий газ, вырывающийся из сопла ракеты,

    сила, подействовавшая на горючий газ, вырывающийся из сопла ракеты

Согласно третьему закону Ньютона сила, подействовавшая на топливо, равна по модулю и противоположна по направлению силе, подействовавшей на ракету, т. е. реактивной силе = -p. Следовательно, искомая сила

    искомая сила

Задачи для самостоятельного решения

1. Неподвижный вагон массой 2 • 104 кг сцепляется с платформой массой 3 • 104 кг. До сцепки платформа имела скорость 1 м/с. Чему равна скорость вагона и платформы после их сцепки?

2. На плот массой 100 кг, имеющий скорость 1 м/с, направленную вдоль берега, прыгает человек массой 50 кг со скоростью 1,5 м/с перпендикулярно берегу. Определите скорость плота с прыгнувшим на него человеком.

3. Будет ли увеличиваться скорость ракеты, если скорость истечения газов относительно ракеты меньше скорости самой ракеты и вытекающие из сопла газы летят вслед за ракетой?

4. Охотник стреляет с лёгкой надувной лодки. Определите скорость лодки после выстрела, если масса охотника 70 кг, масса дроби 35 г и средняя начальная скорость дробинок равна 320 м/с. Ствол ружья во время выстрела образует с горизонтом угол 60°.

<<< К началу      Окончание >>>

 

 

???????@Mail.ru