Главная >> Физика 10 класс. Мякишев

Глава 5. Закон сохранения энергии

§ 41. Энергия. Кинетическая энергия

    Вспомните, когда мы можем сказать, что у тела есть энергия.

    Какие физические величины определяют механическую энергию тела?

    Какие виды механической энергии вы знаете?

Если система тел может совершить работу, то мы говорим, что она обладает энергией.

Важно
Энергия характеризует способность тела (или системы тел) совершать работу.

Совершая механическую работу, тело или система тел переходят из одного состояния в другое, в котором их энергия минимальна. Груз опускается, пружина распрямляется, движущееся тело останавливается. При совершении работы энергия постепенно расходуется. Для того чтобы система опять приобрела способность совершать работу, надо изменить её состояние: увеличить скорости тел, поднять тела вверх или деформировать. Для этого внешние силы должны совершить над системой положительную работу.

Энергия в механике — величина, определяемая состоянием системы — положением тел или частей тела и их скоростями.

Запомни
Кинетическая энергия — это энергия, которой обладает движущееся тело.

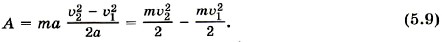
Подсчитаем работу постоянной силы , действующей на материальную точку массой m при его прямолинейном движении. Пусть направление силы совпадает с направлением скорости материальной точки. В этом случае направления вектора перемещения Дс и вектора силы совпадают (рис. 5.4). Поэтому работа силы Δ:

    А = F|Δ|.

    вектора силы

Выберем координатную ось ОХ так, чтобы векторы , 1, 2 и Δ были направлены в сторону положительного направления этой оси. Тогда Δrх = Δх, и формулу для работы можно записать так:

А = FΔx.                     (5.6)

Согласно второму закону Ньютона

    F = mа.                     (5.7)

Так как точка движется с постоянным ускорением, то изменение её координаты Δх при переходе из начального положения в конечное можно найти по известной нам из кинематики формуле

    при переходе из начального положения в конечное можно найти по известной нам из кинематики формуле

Повторите кинематику и выведите самостоятельно формулу (5.8).

Подставляя формулы (5.7) и (5.8) в формулу (5.6), получаем

Окончание >>>

 

 

???????@Mail.ru