Главная >> Физика 10 класс. Мякишев

Глава 5. Закон сохранения энергии

§ 43. Работа силы тяжести и силы упругости. Консервативные силы (окончание)

Работа силы упругости

Вычислим работу, которую совершает сила упругости при перемещении некоторого груза.

    Работа силы упругости

На рисунке 5.13, а показана пружина, у которой один конец закреплён неподвижно, а к другому концу прикреплён шар. Совместим начало координат с центром шара, тогда координата шара будет равна удлинению пружины. Если пружина растянута, то она действует на шар с силой 1 (рис. 5.13, б), направленной к положению равновесия шара, в котором пружина не деформирована. Начальное удлинение пружины равно х1. Вычислим работу силы упругости при перемещении шара из точки с координатой х1 в точку с координатой х2. Из рисунка 5.13, в видно, что модуль перемещения равен:

    | = х1 - х2.                       (5.15)

Мы рассматриваем случай, когда направления силы упругости и перемещения тела совпадают.

Для вычисления работы переменной силы упругости воспользуемся графиком зависимости модуля силы упругости от координаты шара (рис. 5.14).

    Для вычисления работы переменной силы упругости воспользуемся графиком зависимости модуля силы упругости от координаты шара

В § 40 мы показали, что работа может быть определена по графику зависимости Fx от х и что эта работа численно равна площади заштрихованной фигуры (см. рис. 5.3, б).

В нашем примере работа силы упругости на перемещении х1 - х2 точки её приложения численно равна площади трапеции BCDM. Следовательно,

    работа силы упругости

Согласно закону Гука значения сил упругости F1 = kx1 и F2 = kx2. Подставляя эти выражения в уравнение (5.16) и учитывая, что |Δ| = х1 - х2, получаем

    значения сил упругости

Или окончательно

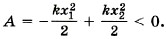
Работа силы упругости при растяжении пружины, т. е. когда направление силы противоположно перемещению тела:

Важно
Если начальное и конечное состояния пружины совпадают, то суммарная работа силы упругости при деформации пружины равна нулю.

Попробуйте доказать самостоятельно, что сила тяготения также консервативна.

Во всех случаях движения тела под действием силы упругости мы пришли бы к той же формуле (5.17) для работы, т. е. работа силы упругости зависит лишь от удлинения или сжатия пружины в начальном и конечном состояниях.

Таким образом, работа силы упругости не зависит от формы траектории и, так же как и сила тяжести, сила упругости является консервативной.

Ключевые слова для поиска информации по теме параграфа.
Работа сил тяжести, упругости. Консервативные силы

Вопросы к параграфу

1. Чему равна работа силы тяжести и силы упругости при перемещении тела по замкнутой траектории?

2. Какие силы называют консервативными? Каково их общее свойство?

<<< К началу

 

 

???????@Mail.ru