Главная >> Физика 10 класс. Мякишев

Глава 5. Закон сохранения энергии

§ 45. Закон сохранения энергии в механике

    Как изменяются потенциальная, кинетическая и полная механическая энергии тела при его свободном падении вниз? если тело брошено вверх?

Обратимся к простой системе тел, состоящей из земного шара и поднятого над поверхностью Земли тела, например камня.

Камень падает под действием силы тяжести. Силу сопротивления воздуха учитывать не будем. Изменение кинетической энергии камня равно работе сил тяжести:

    ΔЕк = Aт                     (5.23)

Изменение потенциальной энергии равно работе силы тяжести, взятой с обратным знаком:

    ΔЕп = -Ат                     (5.24)

Работа силы тяжести, действующей со стороны камня на земной шар, практически равна нулю. Из-за большой массы земного шара его перемещением и изменением скорости можно пренебречь. Из формул (5.23) и (5.24) следует, что

    ΔЕк = -ΔЕп.                     (5.25)

Равенство (5.25) означает, что увеличение кинетической энергии системы равно убыли её потенциальной энергии (или наоборот). Отсюда следует, что

    ΔЕк + ΔЕп = 0,

или

    Δ (Ек + Еп) = 0.                     (5.26)

Изменение суммы кинетической и потенциальной энергий системы равно нулю.

Полная механическая энергия Е равна сумме кинетической и потенциальной энергий тел, входящих в систему:

    Е = Ек + Еп.                     (5.27)

Так как изменение полной энергии системы в рассматриваемом случае согласно уравнению (5.26) равно нулю, то энергия остаётся постоянной:

    Е = Ек + Еп = const.                     (5.28)

Закон сохранения механической энергии
В изолированной системе, в которой действуют консервативные силы, механическая энергия сохраняется.

Закон сохранения механической энергии является частным случаем общего закона сохранения энергии.

Общий закон сохранения энергии
Энергия не создаётся и не уничтожается, а только превращается из одной формы в другую.

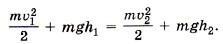
Учитывая, что в рассматриваемом конкретном случае Еп = mgh и закон сохранения механической энергии можно записать так:

    закон сохранения механической энергии можно записать так

или

    закон сохранения механической энергии

Продолжение >>>

 

 

???????@Mail.ru