Главная >> Физика 10 класс. Мякишев

Глава 5. Закон сохранения энергии

§ 46. Работа силы тяготения. Потенциальная энергия в поле тяготения (окончание)

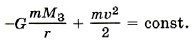
На тело со стороны Земли действует сила тяготения, которая зависит от расстояния центра масс этого тела до центра масс Земли. Поскольку неконсервативных сил нет, полная механическая энергия тела сохраняется. Внутренняя потенциальная энергия тела остаётся постоянной, так как оно не деформируется. Согласно закону сохранения механической энергии

    Согласно закону сохранения механической энергии

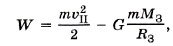
На поверхности Земли тело обладает и кинетической, и потенциальной энергией:

    На поверхности Земли тело обладает и кинетической, и потенциальной энергией

где υII — вторая космическая скорость, М3 и Я3 — соответственно масса и радиус Земли.

В бесконечно удаленной точке, т. е. при r → ∞, потенциальная энергия тела равна нулю (Wп = 0), а так как нас интересует минимальная скорость, то и кинетическая энергия также должна быть равна нулю: Wк = 0.

Из закона сохранения энергии следует:

    закон сохранения энергии

отсюда

Эту скорость можно выразить через ускорение свободного падения вблизи поверхности Земли (при расчётах, как правило, этим выражением пользоваться удобнее). Поскольку то GM3 = gR23.

Следовательно, искомая скорость

    искомая скорость

Точно такую же скорость приобрело бы тело, упавшее на Землю с бесконечно большой высоты, если бы не было сопротивления воздуха. Заметим, что вторая космическая скорость в раза больше, чем первая.

Работа силы тяготения. Вторая космическая скорость

Вопросы к параграфу

1. Является ли сила тяготения консервативной? Почему?

2. Какие физические величины остаются постоянными, а какие изменяются при расчёте второй космической скорости?

3. Изменится ли значение второй космической скорости, если ракету запустить из глубокой шахты?

4. Как изменится выражение для потенциальной энергии тела в поле тяготения, если за нулевой уровень её отсчёта взять поверхность Земли?

<<< К началу

 

 

???????@Mail.ru