Главная >> Физика 10 класс. Мякишев

Глава 6. Динамика вращательного движения абсолютно твёрдого тела

Примеры решения задач по теме «Динамика вращательного движения абсолютно твёрдого тела»

Р е ш е н и е. Так как внешние силы — сила тяжести и сила реакции опоры, направленные параллельно оси вращения, не могут изменить момент импульса системы тел «скамья—человек», то согласно закону сохранения импульса

    I1ω1 = I2ω2.                     (1)

Когда человек находится в центре скамьи, то момент инерции системы равен только моменту инерции скамьи: I1 = Iск.

После того как человек перешёл на край скамьи, момент инерции системы стал равен I2 = Iск + mr2.

Угловая скорость связана с числом оборотов в секунду соотношением ω1 = 2πn.

Подставив найденные выражения в уравнение (1), получим Iск2πn = (Iск + mr22. Тогда

Изменение угловой скорости

Задача 3. На наклонную плоскость вкатывается колесо, двигавшееся по горизонтальной поверхности со скоростью 4 м/с. Вся масса колеса сосредоточена в ободе. Определите максимальную высоту, на которую поднимется колесо. Работой силы трения можно пренебречь.

Р е ш е н и е. Выберем нулевой уровень отсчёта потенциальной энергии так, как показано на рисунке 6.13. Учтём, что момент инерции колеса-обруча I = mR2, а угловая скорость вращения ω = υ/R. Механическая энергия колеса на горизонтальной поверхности равна сумме кинетических энергий поступательного и вращательного движений колеса:

    нулевой уровень отсчёта потенциальной энергии

    Механическая энергия колеса на горизонтальной поверхности

На максимальной высоте механическая энергия равна потенциальной энергии Е2 = mgh. Согласно закону сохранения механической энергии получим Е1 = Е2, или mυ2 = mgh, откуда h = υ2/g = 1,6 м.

Задача 4. Сплошной цилиндр раскрутили до угловой скорости ω и положили на пол к стенке. Коэффициент трения между стенкой, полом и цилиндром μ, радиус цилиндра R. Определите, сколько оборотов сделает цилиндр до остановки.

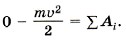
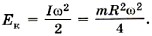
Р е ш е н и е. Решаем задачу, используя теорему об изменении кинетической энергии. При этом учтём, что ось вращения цилиндра неподвижна, момент инерции цилиндра относительно этой оси равен соответственно кинетическая энергия цилиндра вначале равна

Изменение кинетической энергии равно алгебраической сумме работ сил, действующих на него:

    Изменение кинетической энергии равно алгебраической сумме работ сил, действующих на него

На цилиндр (рис. 6.14) действуют силы тяжести m реакции опоры 1, 2 и силы трения тр1, тр2.

    реакции опоры и силы трения

<<< К началу      Окончание >>>

 

 

???????@Mail.ru