Главная >> Физика 10 класс. Мякишев

Глава 10. Уравнение состояния идеального газа. Газовые законы

§ 66. Примеры решения задач по теме «Газовые законы»

Если при переходе газа из начального состояния в конечное один из параметров не меняется, то разумно использовать один из газовых законов (10.6), (10.7) или (10.9).

Для этого нужно знать зависимость параметров друг от друга, которая в общем случае даётся уравнением состояния, а в частных — газовыми законами.

Задача 1. Баллон вместимостью V1 = 0,02 м3, содержащий воздух под давлением Pi — 4 • 10° Па, соединяют с баллоном вместимостью V2 = 0,06 м3, из которого воздух выкачан. Определите давление р, которое установится в сосудах. Температура постоянна.

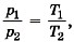
Р е ш е н и е. Воздух из первого баллона займёт весь предоставленный ему объём V1 + V2. По закону Бойля—Мариотта p1V1 = p(V2 + V1).

Отсюда искомое давление

Задача 2. В запаянной пробирке находится воздух при атмосферном давлении и температуре 300 К. При нагревании пробирки на 100 °С она лопнула. Определите, какое максимальное давление выдерживает пробирка.

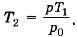
Р е ш е н и е. Объём воздуха при нагревании остаётся постоянным.

Для определения давления в пробирке при нагревании до 100 °С применяем закон Шарля

По условию Т2 = 400 К. Заметим, что изменение температуры по шкале Кельвина равно изменению температуры по шкале Цельсия.

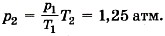
Тогда давление

Однако разорваться пробирке мешает атмосферное давление. Тогда окончательно давление, которое может выдержать пробирка, рmах = ратм + р2 ≈ 2,25 атм.

Задача 3. При нагревании газа при постоянном объёме на 1 К давление увеличилось на 0,2 %. Чему равна начальная температура газа?

Р е ш е н и е. Газ нагревается при постоянном объёме — процесс изохорный. По закону Шарля где Т2 = Т1 + ΔТ. Из условия задачи следует, что р2 = p1 • 1,002, т. е. откуда Т1 = ΔТ/0,002 = 500 К.

Задача 4. Давление воздуха внутри бутылки, закрытой пробкой, равно 0,1 МПа при температуре t1 = 7 °С. На сколько градусов нужно нагреть воздух в бутылке, чтобы пробка вылетела? Без нагревания пробку можно вынуть, прикладывая к ней силу 30 Н. Площадь поперечного сечения пробки 2 см2.

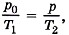
Р е ш е н и е. Чтобы пробка вылетела из бутылки, необходимо, чтобы давление воздуха в бутылке было равно

При нагревании объём не изменяется. По закону Шарля откуда Следовательно,

    При нагревании объём не изменяется

Окончание >>>

 

 

???????@Mail.ru