Главная >> Физика 10 класс. Мякишев

Глава 10. Уравнение состояния идеального газа. Газовые законы

§ 67. Примеры решения задач по теме «Определение параметров газа по графикам изопроцессов»

При решении многих задач на газовые законы требуется построение графиков, изображающих разного рода процессы. На графиках обозначаем точки, определяющие состояния системы. Имеем в виду, что можно изобразить только равновесные процессы, при которых каждое промежуточное состояние равновесное, т. е. температура и давление одинаковы во всех точках данного объёма.

Задача 1. Постройте изобары для водорода массой 2 г при нормальном атмосферном давлении р0 в координатах р, Т;  р, V;  V, Т.

Р е ш е н и е. На графиках зависимости р от Т и р от V изобара представляет собой прямую, параллельную либо оси Т, либо оси V (рис. 10.5, а и б). Так как то графиком зависимости V от Т является прямая, проходящая через начало отсчёта. Учитывая, что m = 0,002 кг, М = 0,002 кг/моль, R = 8,31 Дж/(моль • К) и р0 = 105 Па, можно записать: V = ВТ, где В частности, при Т = 100 К V ≈ 8 • 10-3 м3. График зависимости V от Т показан на рисунке (10.5, в).

    График зависимости V от Т

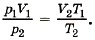
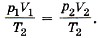
Задача 2. Выведите уравнение Клапейрона при переходе газа из состояния 1 (Р1, V1, Т1) в состояние 2 (р2, V2, Т2) (рис. 10.6, а).

Р е ш е н и е. Переведём газ из состояния 1 в состояние 2, совершив два процесса: изотермический из состояния 1 в состояние 1', поддерживая постоянную температуру T1, и изобарный из состояния 1' в состояние 2, поддерживая постоянным давление р2 (рис. 10.6, б).

    Переведём газ из состояния 1 в состояние 2

Согласно закону Бойля—Мариотта запишем: P1V1 = p2V', согласно закону Гей-Люссака Выразив из первого и второго уравнений V' и приравняв правые части полученных равенств, запишем: Перенеся параметры с индексом 1 в левую часть, а параметры с индексом 2 в правую, получим уравнение Клапейрона Для вывода уравнения мы использовали два экспериментально установленных закона: изотермический и изобарный.

Продолжение >>>

 

 

???????@Mail.ru