Главная >> Физика 10 класс. Мякишев

Глава 1. Кинематика точки и твёрдого тела

Примеры решения задач по теме «Сложение скоростей» (окончание)

Р е ш е н и е. Свяжем неподвижную систему отсчёта с землёй, а подвижную — с воздухом. Тогда согласно закону сложения скоростей скорость 2 самолёта относительно земли равна сумме скоростей '2 самолёта относительно воздуха и ветра относительно земли:

    2 = '2 +                         (1)

На рисунке 1.23 показаны скорость ветра, скорость 2 самолёта и скорость '2 самолёта относительно земли. Мы направляем скорости так, чтобы проекции скорости самолёта относительно ветра и скорости ветра на оси ОХ были равны по модулю и направлены в противоположные стороны: '2x = -x. Соответственно

    '2cosα = cos 45°.                         (2)

В проекции на ось OY уравнение (1) запишем в виде 2y = '2y + y.

Тогда 2y = '2sinα - sin45°, это искомая скорость самолёта.

Из уравнения (2) найдем угол α:

    найдем угол α

Подставим числовые значения: α = 76°.

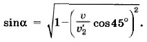
Из уравнения (3) выразим sinα:

Скорость самолёта

Задачи для самостоятельного решения

1. Скорость катера относительно воды равна 36 км/ч, а скорость течения равна 9 км/ч. На одном берегу реки находятся две пристани. Расстояние между ними равно 90 км. Какое время затратит катер на прохождение пути между пристанями по течению и обратно?

2. По двум параллельным железнодорожным путям навстречу друг другу равномерно движутся два поезда со скоростями 72 км/ч и 108 км/ч. Длина первого поезда 900 м, второго — 140 м. В течение какого времени один поезд пройдёт мимо другого?

3. Капли дождя падают отвесно относительно земли со скоростью 35 м/с. Какую наименьшую скорость относительно земли должен иметь автомобиль, чтобы на заднем смотровом стекле, наклонённом под углом 60° к горизонту, не оставалось следов капель? Завихрения воздуха не учитывайте.

4. Эскалатор метро спускает идущего по нему человека вниз за 1 мин. Если человек идёт вдвое быстрее, то он спустится за 45 с. Сколько времени будет спускаться человек, стоящий на эскалаторе?

<<< К началу

 

 

???????@Mail.ru