Главная >> Физика 10 класс. Мякишев

Глава 11. Взаимные превращения жидкостей и газов

§ 71. Примеры решения задач по теме «Насыщенный пар. Влажность воздуха»

При решении задач надо иметь в виду, что давление и плотность насыщенного пара не зависят от его объёма, а зависят только от температуры. Уравнение состояния идеального газа приближённо применимо и для описания насыщенного пара. Но при сжатии или нагревании насыщенного пара его масса не остаётся постоянной.

При решении некоторых задач могут понадобиться значения давления насыщенного пара при некоторых температурах. Эти данные нужно брать из таблицы.

Задача 1. Закрытый сосуд объёмом V1 = 0,5 м3 содержит воду массой m = 0,5 кг. Сосуд нагрели до температуры t = 147 °С. На сколько следует изменить объём сосуда, чтобы в нём содержался только насыщенный пар? Давление насыщенного пара рн. п при температуре t = 147 °С равно 4,7 • 105 Па.

Р е ш е н и е. Насыщенный пар при давлении рн. п занимает объём, равный где М = 0,018 кг/моль — молярная масса воды. Объём сосуда V1 > V, а значит, пар не является насыщенным. Для того чтобы пар стал насыщенным, объём сосуда следует уменьшить на

    Для того чтобы пар стал насыщенным, объём сосуда следует уменьшить

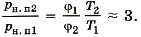
Задача 2. Относительная влажность воздуха в закрытом сосуде при температуре t1 = 5 °С равна φ1 = 84 %, а при температуре t2 = 22 °С равна φ2 = 30 %. Во сколько раз давление насыщенного пара воды при температуре t2 больше, чем при температуре t1?

Р е ш е н и е. Давление водяного пара в сосуде при Т1 = 278 К равно где рн. п1 — давление насыщенного пара при температуре Т1. При температуре Т2 = 295 К давление

Так как объём постоянен, то по закону Шарля

Отсюда

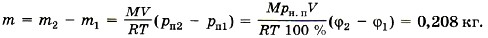
Задача 3. В комнате объёмом 40 м3 температура воздуха 20 °С, его относительная влажность φ1 = 20 %. Сколько надо испарить воды, чтобы относительная влажность φ2 достигла 50 % ? Известно, что при 20 °С давление насыщающих паров рн п = 2330 Па.

Р е ш е н и е. Относительная влажность отсюда

    Относительная влажность

Давление пара при относительной влажности φ1 и φ2

    Давление пара при относительной влажности

Плотность связана с давлением равенством ρ = Mp/RT, откуда

    Плотность связана с давлением

Массы воды в комнате при влажности φ1 и φ2

    Массы воды в комнате при влажности φ<sub>1</sub> и φ<sub>2</sub>

Масса воды, которую надо испарить:

    Масса воды, которую надо испарить

Задача 4. В комнате с закрытыми окнами при температуре 15 °С относительная влажность φ = 10 %. Чему станет равна относительная влажность, если температура в комнате повысится на 10 °С? Давление насыщенного пара при 15 °С рн. п1 = 12,8 мм рт. ст., а при 25 °С рн п2 = 23,8 мм рт. ст.

Р е ш е н и е. Так как пар ненасыщенный, то парциальное давление пара изменяется по закону Шарля р11 = р22. Из этого уравнения можно определить давление ненасыщенного пара р2 при Т2: р2 = р1Т21. Относительная влажность при Т1 равна:

    Относительная влажность при Т<sub>1</sub> равна

Относительная влажность при Т2 = 25 °С равна:

    Относительная влажность при Т<sub>2</sub> = 25 °С равна

Из уравнения (1) получим следовательно,

Окончание >>>

 

 

???????@Mail.ru