Главная >> Физика 10 класс. Мякишев

Глава 13. Основы термодинамики

Примеры решения задач по теме: Внутренняя энергия. Работа

Р е ш е н и е. Работа газа численно равна площади заштрихованной фигуры. Процессы 1—2 и 3—4 изобарные, поэтому работа газа в этих процессах

    А'1 - 2 = p1(V2 - V1),     А'3-4 = p2(V4 - V3).

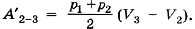
В процессе 2—3 изменяются все три параметра газа. Работа газа в этом процессе

Таким образом, учтя, что V2 — V1 = V3 — V2 = V4 — V3 = ΔV, получим

    Работа газа

Задачи для самостоятельного решения

1. Как изменится внутренняя энергия одноатомного идеального газа, если его давление увеличится в 3 раза, а объём уменьшится в 2 раза?

2. Стержень отбойного молотка приводится в движение сжатым воздухом. Масса воздуха в цилиндре за время хода поршня меняется от 0,1 до 0,5 г. Считая давление воздуха в цилиндре и температуру (27 °С) постоянными, определите работу газа за один ход поршня (Мвозд = 0,029 кг/моль).

3. При изобарном расширении одноатомного газа, взятого в количестве 4 моль, его температура увеличилась на 100 °С. Определите изменение внутренней энергии и работу, совершённую силой давления газа.

Образцы заданий ЕГЭ

C 1. Объём идеального одноатомного газа, масса которого постоянна, увеличился при постоянном давлении 500 кПа на 0,03 м3. На сколько увеличилась внутренняя энергия газа?

C 2. Идеальный одноатомный газ находится в сосуде с жёсткими стенками объёмом 0,5 м3. При нагревании его давление возросло на 4 кПа. На сколько увеличилась внутренняя энергия газа?

C 3. Во время опыта объём воздуха в цилиндре, закрытом подвижным поршнем, и его абсолютную температуру увеличили в 2 раза. Оказалось, однако, что воздух мог просачиваться сквозь зазор вокруг поршня, и за время опыта его давление в цилиндре не изменилось. Во сколько раз изменилась внутренняя энергия воздуха в цилиндре? (Воздух считайте идеальным газом.)

C 4. В сосуде с небольшой трещиной находится газ, который может просачиваться сквозь трещину. Во время опыта давление газа уменьшилось в 8 раз, а его абсолютная температура уменьшилась в 4 раза при неизменном объёме. Во сколько раз изменилась внутренняя энергия газа в сосуде? (Газ считайте идеальным.)

C 5. В координатах р, Т показан цикл тепловой машины, у которой рабочим телом является идеальный газ. На каком участке цикла работа газа наибольшая по модулю?

<<< К началу

 

 

???????@Mail.ru