Главная >> Физика 10 класс. Мякишев

Глава 14. Электростатика

§ 90. Поле точечного заряда и заряженного шара. Принцип суперпозиции полей

    Что показывают силовые линии?

    Для чего они используются?

Напряжённость поля точечного заряда

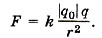
Найдём напряжённость электрического поля, создаваемого точечным зарядом q0. По закону Кулона этот заряд будет действовать на положительный заряд q с силой

    Напряжённость поля точечного заряда

Модуль напряжённости поля точечного заряда q0 на расстоянии г от него равен:

    Модуль напряжённости поля точечного заряда

Вектор напряжённости в любой точке электрического поля направлен вдоль прямой, соединяющей эту точку и заряд (рис. 14.14), и совпадает с силой, действующей на точечный положительный заряд, помещённый в данную точку. Силовые линии электрического поля точечного заряда, как следует из соображений симметрии, направлены вдоль радиальных линий (рис. 14.15, а).

    Вектор напряжённости в любой точке электрического поля направлен вдоль прямой, соединяющей эту точку и заряд

Поле заряженного шара

Рассмотрим теперь вопрос об электрическом поле заряженного проводящего шара радиусом R. Заряд q равномерно распределён по поверхности шара. Силовые линии электрического поля, также из соображений симметрии, направлены вдоль продолжений радиусов шара (рис. 14.15, б).

Распределение в пространстве силовых линий электрического поля шара с зарядом q на расстояниях r ≥ R от центра шара аналогично распределению силовых линий поля точечного заряда q (см. рис. 14.15, а). Следовательно, на расстоянии r ≥ R от центра шара напряжённость поля определяется той же формулой (14.9), что и напряжённость поля точечного заряда, помещённого в центре сферы:

    Поле заряженного шара

Важно
Внутри проводящего шара (r < R) напряженность поля равна нулю.

Окончание >>>

 

 

???????@Mail.ru