Главная >> Физика 10 класс. Мякишев

Глава 14. Электростатика

§ 91. Примеры решения задач по теме «Напряжённость электрического поля. Принцип суперпозиции полей»

При решении задач с использованием понятия напряжённости электрического поля нужно прежде всего знать формулы (14.8) и (14.9), определяющие силу, действующую на заряд со стороны электрического поля, и напряжённость поля точечного заряда. Если поле создаётся несколькими зарядами, то для расчёта напряжённости в данной точке надо сделать рисунок и затем определить напряжённость как геометрическую сумму напряжённостей полей.

Задача 1. Два одинаковых положительных точечных заряда расположены на расстоянии r друг от друга в вакууме. Определите напряжённость электрического поля в точке, расположенной на одинаковом расстоянии r от этих зарядов.

Р е ш е н и е. Согласно принципу суперпозиции полей искомая напряжённость равна геометрической сумме напряжённостей полей, созданных каждым из зарядов (рис. 14.17): = 1 + 2.

Модули напряжённостей полей зарядов равны:

    Модули напряжённостей полей зарядов равны

Диагональ параллелограмма, построенного на векторах 1 и 2, есть напряжённость результирующего поля, модуль которой равен:

    Напряжённость результирующего поля, модуль которой равен

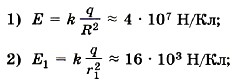
Задача 2. Проводящая сфера радиусом R = 0,2 м, несущая заряд q = 1,8 • 10-4 Кл, находится в вакууме. Определите: 1) модуль напряжённости электрического поля на её поверхности; 2) модуль напряжённости 1 электрического поля в точке, отстоящей на расстоянии r1 = 10 м от центра сферы; 3) модуль напряжённости 0 в центре сферы.

Р е ш е н и е. Электрическое поле заряженной сферы вне её совпадает с полем точечного заряда. Поэтому

Следовательно,

3) напряжённость поля в любой точке внутри проводящей сферы равна нулю: Е0 = 0.

Продолжение >>>

 

 

???????@Mail.ru