Главная >> Физика 10 класс. Мякишев

Глава 14. Электростатика

Потенциальная энергия заряженного тела в однородном электростатическом поле

Электрическое поле при перемещении заряда совершит положительную работу:

    А = qE(d1 - d2) = qEΔd.                     (14.12)

Важно
Работа по перемещению заряда в электрическом поле не зависит от формы траектории, подобно тому как не зависит от формы траектории работа силы тяжести.

Докажем это непосредственным расчётом.

Пусть перемещение заряда происходит по кривой (рис. 14.32). Разобьём эту кривую на малые перемещения. Сила, действующая на заряд, остаётся постоянной (поле однородно), а угол а между направлением силы и направлением перемещения будет изменяться. Работа на малом перемещении Δ равна ΔА = qElΔlcosa. Очевидно, что |Δ|cosa = Δd — проекция малого перемещения на горизонтальное направление. Суммируя работы на малых перемещениях, получаем А = qEd.

    Перемещение заряда происходит по кривой

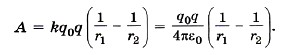
С помощью аналогичных рассуждений можно вывести формулу для работы кулоновской силы при перемещении заряда q0 из точки 1 в точку 2 в неоднородном поле неподвижного точечного заряда q. При этом должно быть учтено, что сила зависит от расстояния до точечного заряда q. Для работы кулоновской силы в поле точечного заряда q справедливо выражение

    Для работы кулоновской силы в поле точечного заряда q справедливо выражение

Мы видим, что работа зависит только от положения начальной (r1) и конечной (r2) точек траектории и не зависит от формы траектории.

Электростатическая сила, действующая на заряды, является так же, как и силы тяжести, тяготения и упругости, консервативной силой.

Изобразите схематично однородное электрическое поле и начертите несколько траекторий, по которым движется заряд q. Покажите, что работа поля не зависит от траектории.

Потенциальная энергия

Поскольку работа электростатической силы не зависит от формы траектории точки её приложения, сила является консервативной, и её работа согласно формуле (5.22) равна изменению потенциальной энергии, взятому с противоположным знаком:

    А = -(Wп2 - Wп1) = -ΔWп.                     (14.13)

Сравнивая полученное выражение (14.12) с общим определением потенциальной энергии (14.13), видим, что ΔWп = Wп2 - Wп1 = -qEd. Считаем, что в точке 2 потенциальная энергия равна нулю. Тогда

Важно
потенциальная энергия заряда в однородном электростатическом поле равна:

    Wп = qEd,                     (14.14)

где d — расстояние от точки 2 до любой точки, находящейся с точкой 2 на одной силовой линии.

<<< К началу      Окончание >>>

 

 

???????@Mail.ru