Главная >> Физика 10 класс. Мякишев

Глава 14. Электростатика

Связь между напряжённостью электростатического поля и разностью потенциалов. Эквипотенциальные поверхности

Любое электростатическое поле в достаточно малой области пространства можно считать однородным.

Формула (14.21) справедлива для произвольного электростатического поля, если только расстояние Δd настолько мало, что изменением напряжённости поля на этом расстоянии можно пренебречь.

Сравним поле силы тяжести и однородное электростатическое поле.

    Сравним поле силы тяжести и однородное электростатическое поле

Единица напряжённости электрического поля

Единицу напряжённости электрического поля в СИ устанавливают, используя формулу (14.21).

Важно
Напряжённость электрического поля численно равна единице, если разность потенциалов между двумя точками, лежащими на одной силовой линии, на расстоянии 1 м в однородном поле равна 1 В.

Единица напряжённости — вольт на метр (В/м).

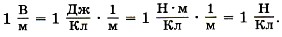
Напряжённость, как мы уже знаем, можно также выражать в ньютонах на кулон. Действительно,

    Единица напряжённости — вольт на метр (В/м)

<<< К началу      Окончание >>>

 

 

???????@Mail.ru