Главная >> Молекулярная физика. Термодинамика. Физика 10 класс. Мякишев

Глава 2. Основы молекулярно-кинетической теории

Примеры решения задач на тему: Основы молекулярно-кинетической теории

При решении большей части задач на тему «Основы молекулярно-кинетической теории» нужно уметь определять молярные массы вещества. Для этого по известным из таблицы Д. И. Менделеева относительным атомным массам надо определить относительную молекулярную массу, а затем и молярную массу по формуле М = 10-3 Мr кг/моль, где М — молярная масса, Мr — относительная молекулярная масса.

Во многих задачах требуется по известной массе тела определить количество вещества или число атомов (молекул) в нем.

Для этого используются формулы Массы отдельных молекул определяются по формуле В некоторых задачах массу вещества нужно выразить через его плотность ρ и объем V: m = ρV.

Задача 1

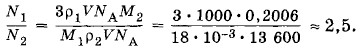
В двух сосудах находятся вода и ртуть одинакового объема. Сравните число атомов в этих жидкостях.

Решение. Вода содержит молекул или атомов, а ртуть содержит атомов.

Масса воды m1 = ρ1V; масса ртути m2 = ρ2V, где ρ1 = = 1000 кг/м3— плотность воды, а ρ2 = 13 600 кг/m3 — плотность ртути. Молярная масса воды М1 = 18 • 10-3 кг/моль; молярная масса ртути М2 = 0,2006 кг/моль. Следовательно,

Число атомов в воде

Число атомов в воде примерно в 2,5 раз больше, чем в ртути.

Задача 2

Определите среднее расстояние d между центрами соседних молекул в куске льда. Плотность льда ρ = 900 кг/м3.

Решение. При плотной упаковке молекул среднее расстояние d между центрами соседних молекул равно линейным размерам самих молекул. Поэтому

V ≈ d3N,

где V — объем куска льда, а N — число молекул в нем.

Согласно (2.2.7) Поэтому

объем куска льда

Отсюда

среднее расстояние между центрами соседних молекул

Задача 3

Вычислите примерные размеры атома золота.

Решение. Объем одного моля золота равен где ρ = 1,93 • 104кг/м3 — плотность золота, М = 0,197 кг/моль — его молярная масса. Объем одного атома золота равен

Объем одного атома золота

Пренебрегая промежутками между атомами ввиду их плотной упаковки, найдем приближенно линейный размер атома:

линейный размер атома

 

 

???????@Mail.ru