Главная >> Молекулярная физика. Термодинамика. Физика 10 класс. Мякишев

Глава 2. Основы молекулярно-кинетической теории

Ответы к упражнению 1: Основы молекулярно-кинетической теории

1. ≈ 1,7 • 10-9 м.

2. NО2.

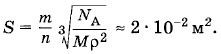
3.

4. 23; 2,3 • 10-2 кг/моль; 28; 2,8 • 10-2 кг/моль; 30; 3,0 • 10-2 кг/моль; 160; 0,16 кг/моль.

5. 50 моль.

6. 1,8 кг.

7. ≈ 6,7 • 10-27 кг; ≈ 5 • 10-26 кг; ≈ 2,7 • 10-26 кг.

8. Примерно 4 • 1018 молекул.

9. 2,0 • 1025.

10. Около 5000.

11.

12.

 

 

???????@Mail.ru