Главная >> Молекулярная физика. Термодинамика. Физика 10 класс. Мякишев

Глава 7. Поверхностное натяжение в жидкостях

Примеры решения задач на тему: Поверхностное натяжение в жидкостях

Задача 4

капиллярную трубку

Длинную стеклянную капиллярную трубку, радиус канала которой r = 1 мм, закрыли снизу и наполнили водой. Трубку поставили вертикально и открыли ее нижний конец, при этом часть воды вылилась. Какова высота столба оставшейся в капилляре воды?

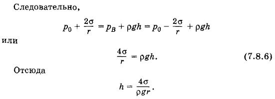
Решение. Столб воды в поставленной вертикально трубке удерживается верхним и нижним менисками (рис. 7.30). Давление в точке В под верхним мениском

Задача 5

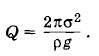
Конец капиллярной трубки опущен в воду. Какое количество теплоты Q выделится при поднятии жидкости по капилляру? Краевой угол принять равным нулю (полное смачивание).

Решение. Жидкость поднимается согласно формуле (7.7.3) на высоту Потенциальная энергия столбика жидкости в поле тяготения Земли

Силы поверхностного натяжения совершают работу

На увеличение потенциальной энергии Ер идет половина этой работы. Следовательно, выделение теплоты происходит за счет другой половины. Таким образом,

Задача 6

Капиллярная трубка погружена в воду таким образом, что длина непогруженной ее части составляет l = 0,2 м. Вода поднялась в трубке на высоту В этом положении верхний конец трубки закрывают пальцем и трубку погружают в воду до тех пор, пока уровень воды в ней не сравняется с уровнем воды в сосуде. Найдите длину выступающей из воды части трубки в этом положении. Внешнее давление р0 = 105 Па.

Решение. Согласно формуле (7.7.3)

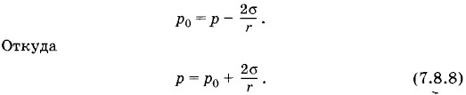
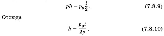
Найдем давление воздуха, которое установится в погруженном закрытом сверху капилляре после выравнивания уровней воды (в сосуде и капилляре). Обозначим давление воздуха в капилляре буквой р, тогда под вогнутой поверхностью воды в капилляре давление равно (см. § 7.6). Так как жидкость в капилляре и сосуде находится в равновесии, то давление на жидкость в сосуде (атмосферное давление р0) равно давлению :

Полагая температуру неизменной и применив закон Бойля—Мариотта, получим

Найдем из уравнения (7.8.7) значение σ и подставим его в выражение (7.8.8):

И наконец, подставив в (7.8.10) выражение (7.8.11) для р, окончательно получим

<<< К началу

 

 

???????@Mail.ru