Главная >> Молекулярная физика. Термодинамика. Физика 10 класс. Мякишев

Глава 7. Поверхностное натяжение в жидкостях

Ответы к упражнению 6: Поверхностное натяжение в жидкостях

3. Максимальный термометр можно осуществить следующим образом. Вне столбика жидкости горизонтально расположенного термометра (рис. 7) поместить небольшое не смачиваемое жидкостью тело, которое может свободно перемещаться вдоль трубки термометра. Положение тела укажет максимальную температуру, так как при расширении жидкости тело будет перемещаться вдоль трубки, а при сжатии останется на месте.

Максимальный термометр

Аналогично можно осуществить и минимальный термометр. Для этого смачиваемое жидкостью термометра тело нужно поместить внутрь жидкости.

4. Поверхностное натяжение чистого бензина меньше, чем поверхностное натяжение бензина, в котором растворен жир. Поэтому при смачивании бензином краев пятна оно стягивается к центру. При смачивании же самого пятна оно будет растекаться по ткани.

5. Внутри кожи имеется большое количество капилляров. Внутри капилляра постоянного сечения капелька смачивающей жидкости будет находиться в равновесии. Нагревание жидкости уменьшает поверхностное натяжение. Поэтому жидкость втягивается в сторону холодной части капилляра. Ботинки надо нагревать снаружи.

6. Жир расплавляется, и силы поверхностного натяжения перемещают его на поверхность холодной ткани, подложенной под костюм (см. задачу 5).

7. Часть полена в тени холоднее. Поэтому силы поверхностного натяжения перемещают воду в этом направлении.

9. Будет, пока воздух не перейдет из маленького пузыря в большой.

10. Капля устремится к узкому концу трубки, так как давление меньше под поверхностью меньшего радиуса кривизны.

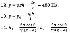
11. 30 см; нет.

15. 7,5 • 10-5 кг.

16. Длина столбика равна 2h, если l > h,и l + h, если l ≤ h.

17. Мениск имеет форму вогнутого сферического сегмента;

18.

19. Надо направить струю воды с малой скоростью сразу на стенку сосуда. Смачивая стенку, вода будет прилипать к ней.

Если есть центрифуга, то при вращении сосуда вода будет прижиматься к дальней от оси вращения стенке, а оттуда ее можно забирать шприцем. Летчик-космонавт А. А. Серебров предложил более простой способ. Надо поместить внутрь сосуда длинный узкий предмет, например черенок ложки, к которому прилипает вода. Жидкость «расползается» по черенку, поднимается к горловине сосуда и отсасывается оттуда шприцем.

20. Вода не смачивает поверхности тарелок, но впитывается тканью тряпки.

 

 

???????@Mail.ru