Главная >> Молекулярная физика. Термодинамика. Физика 10 класс. Мякишев

Глава 8. Твердые тела и их превращение в жидкости

Ответы к упражнению 7: Твердые тела и их превращение в жидкости

2. 2.

3. 6,6 • 1021.

4. При растворении кристаллическая решетка соли разрушается. Этот процесс требует затраты некоторого количества энергии, которое заимствуется от растворителя.

Во втором случае часть межмолекулярных связей кристаллической решетки уже разрушена при измельчении кристалла. Поэтому для растворения порошка требуется меньше энергии, и вода после растворения в ней соли будет иметь более высокую температуру. Эффект будет, правда, крайне незначительным.

5. Замерзание при 0 °С произойдет только при наличии центров кристаллизации. Ими могут служить любые нерастворимые частицы. Когда масса воды велика, то в ней всегда найдется хотя бы один такой центр, а этого уже достаточно, чтобы замерзла вся вода. Если же вода раздроблена на мельчайшие капли, то лишь в сравнительно небольшом числе капель будут иметься центры кристаллизации и замерзнут только эти капли.

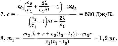
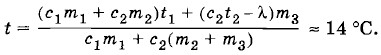
6.

9. m = 0,05 кг.

10. 88%.

11. 78 г.

12. 3,36 • 105 Дж/кг.

13. 5,6 г.

14. t = 0 °С.

15. υ = 2460 м/с.

 

 

???????@Mail.ru