Главная >> Физика. 10 класс. Базовый уровень. Пурышева

Глава 1. Механические явления

§ 11. Основание классической механики (окончание)

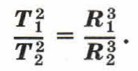
Третий закон Кеплера:

квадраты периодов обращения планет вокруг Солнца относятся друг к другу как кубы средних расстояний этих планет от Солнца.

Таким образом, если периоды обращения каких-либо двух планет равны Т1 и Т2, а их средние расстояния от Солнца составляют соответственно R1 и R2, то третий закон Кеплера можно записать в виде:

    третий закон Кеплера

Сформулировав три закона, Кеплер не мог дать им объяснение: он не знал причину, по которой движение небесных тел подчиняется именно таким законам.

В этом параграфе приведены лишь отдельные примеры, показывающие, что к XVII в. в ходе проведения экспериментов и специально организованных наблюдений, в теоретических исследованиях и в практической деятельности было выявлено множество таких фактов, которые не могли получить объяснение на основе сложившихся к тому времени теоретических представлений. Эти факты и выводы, полученные в результате опытов Галилея, наблюдений Браге и Кеплера, а также опытов и наблюдений других учёных составили эмпирический базис, на основе которого Ньютоном была построена первая физическая теория — классическая механика.

    Вопросы для самопроверки

1. В чём состоял мысленный эксперимент Галилея, показывающий, что скорость свободно падающего тела не зависит от его массы?

2. Какие натурные эксперименты Галилей поставил для изучения закономерностей свободного падения?

3. В чём состоит принцип инерции Галилея? Как Галилей его обосновывал?

4. Сформулируйте законы Кеплера.

5. Почему можно сказать, что работы Галилея, Кеплера и многих других учёных составляют эмпирический базис классической механики?

    Упражнение 5

1. За сколько земных суток делает полный оборот вокруг Солнца Венера, если её среднее расстояние от Солнца составляет 108,2 млн км, а среднее расстояние Земли от Солнца 149,6 млн км?

2. Каково среднее расстояние от Юпитера до Солнца, если год на Юпитере длится 11,86 земного года?

    Ответы

1. 225 земных суток.

2. ≈ 780 млн км.

    Самоконтроль

Выполните в рабочей тетради тренировочный тест 1.

<<< К началу

 

 

???????@Mail.ru