Главная >> Физика. 10 класс. Базовый уровень. Пурышева

Глава 2. Ядро классической механики

§ 13. Принципы классической механики

Принцип независимости действия сил

1. Ядро классической механики, наряду с тремя законами динамики, составляет ряд принципов. Они служат для уточнения основных законов и показывают, каким образом эти законы следует применять в том или ином случае.

Одним из основных принципов классической механики является принцип независимости действия сил или принцип суперпозиции (от лат. super — сверх, над и positio — положение). Согласно этому принципу,

если на тело одновременно действуют несколько сил, то каждая из них сообщает телу такое же ускорение, какое она сообщала бы, если бы действовала одна.

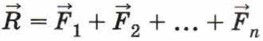
Результат одновременного действия нескольких сил на тело можно получить, используя понятие равнодействующей силы.

Равнодействующая сила равна векторной сумме сил, одновременно действующих на тело.

Например, груз маятника настенных часов в крайней точке своей траектории находится под действием, по меньшей мере, двух сил — силы тяжести и силы упругости стержня (рис. 35). Равнодействующая этих сил заставляет груз начать движение в сторону положения равновесия. От равнодействующей силы будет зависеть и то, кто из участвующих в борьбе за мяч футболистов, одновременно ударяющих по мячу с противоположных сторон, выиграет единоборство: мяч будет двигаться в том направлении, в котором его будет толкать большая по модулю сила (рис. 36).

    Рис. 35

В реальных ситуациях на любое тело всегда действуют несколько сил. Это необходимо иметь в виду, формулируя законы Ньютона.

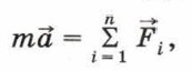
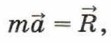
Так, во втором законе Ньютона речь идёт именно о равнодействующей силе, и математически этот закон точнее записать следующим образом:

где — равнодействующая всех сил, действующих на тело.

С использованием математического обозначения суммы ∑ второй закон Ньютона записывается следующим образом:

где n — число сил, действующих на тело.

Продолжение >>>

 

 

???????@Mail.ru