Главная >> Физика. 10 класс. Базовый уровень. Пурышева

Глава 2. Ядро классической механики

§ 14. Закон сохранения импульса

Изменение импульса

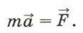
1. Изменение импульса тела или системы тел равно сумме импульсов сил, действующих на это тело или систему тел.

    импульса тела

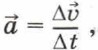
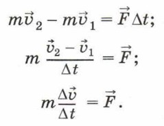
Записав в этом выражении импульсы в виде произведений массы на соответствующие скорости, произведём математические преобразования. Получим

Однако по определению а значит, проделав математические преобразования, можно перейти к записи второго закона Ньютона:

Вспомним, что приведённое определение ускорения в общем случае справедливо только при рассмотрении малого изменения скорости за малый промежуток времени. А верна ли формула (1), если промежуток времени малым считать нельзя? Поскольку любой промежуток времени можно разбить на множество малых интервалов и затем произвести суммирование изменений импульса за каждый из этих интервалов времени, то формула (1) оказывается верной независимо от значения промежутка времени.

Проиллюстрировать это можно с помощью уже известного вам опыта с гирей и двумя нитями (см. рис. 20, а). Если дергать за нижнюю нить резко, то время действия силы будет малым и импульса силы будет не достаточно для существенного изменения импульса гири (см. рис. 20, б). Если же за нижнюю нить тянуть медленно, то время действия силы увеличивается, а значит, увеличивается и её импульс. В этом случае импульс силы может существенно изменить импульс гири (см. рис. 20, в).

Проведём опыт. На стакан положим картонную пластинку, а сверху монету (рис. 39, а). Если картонку медленно сдвигать, то монета будет сдвигаться вместе с ней. Но если резким ударом выбить картонку, то монета упадёт в стакан (рис. 39, б). Объяснить этот опыт также можно, применяя теорему об изменении импульса. Когда картонка движется медленно, время действия силы трения на монету достаточно для изменения её импульса, и монета приходит в движение вместе с картонкой. Если же картонка резко выбивается, то время действия силы трения оказывается крайне малым, и импульса силы недостаточно для того, чтобы сдвинуть монету: она остаётся на месте. Но после того как картонка выбита, лишённая опоры монета падает в стакан.

    Рис. 39

Продолжение >>>

 

 

???????@Mail.ru