Главная >> Физика. 10 класс. Базовый уровень. Пурышева

Глава 2. Ядро классической механики

Закон сохранения механической энергии

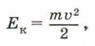
Существует два вида механической энергии — кинетическая и потенциальная. Кинетической энергией обладает любое движущееся тело. Кинетическая энергия тела:

    Кинетическая энергия

где m — масса тела, a υ — модуль скорости.

Потенциальной энергией обладают любые взаимодействующие тела. Так, энергия взаимодействия тела массой m и Земли

    Еп = mgh,

где h — высота тела над землёй.

Чаще говорят, что, вследствие притяжения к Земле, тело массой m на высоте h обладает потенциальной энергией Еп = mgh.

Под ударами падающего с высоты потока воды вращаются лопасти турбин на гидроэлектростанциях. Большая сосулька, упавшая в оттепель с крыши дома, может оставить вмятину на неудачно припаркованном автомобиле.

При расчёте потенциальной энергии тела, поднятого над землёй, необходимо выбрать уровень, от которого отсчитывается высота. Так, например, лежащая на столе книга может упасть на пол, поэтому она обладает некоторой потенциальной энергией относительно пола. Но в то же самое время книга не обладает потенциальной энергией относительно поверхности стола.

Упруго сжатая или растянутая пружина жёсткостью k при удлинении Δх обладает потенциальной энергией

    обладает потенциальной энергией

Так, при выстреле из детского игрушечного пистолета сжатая пружина, разжимаясь, совершает работу над пулькой, сообщая ей кинетическую энергию. Энергия деформированной пружины используется, например, и в механических часах, где закрученная спиральная пружина, постепенно раскручиваясь, приводит в движение часовой механизм.

Из выражения (2) следует, что единицы энергии те же, что и единицы работы. В СИ энергия измеряется в джоулях (Дж).

Теорема об изменении кинетической энергии

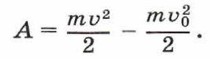
3. Пусть на тело, движущееся со скоростью υ0, подействовала сила F. Тело вследствие этого приобрело скорость υ. Вычислив работу силы F, получим на реальные тела и на системы тел одновременно действуют несколько сил, то теорему обычно формулируют в более общем виде, применяя принцип независимости действия сил:

    теоремы об изменении кинетической энергии.

Таким образом, работа силы, приложенной к телу, идёт на изменение его кинетической энергии. В этом состоит смысл одной из общих теорем динамики — теоремы об изменении кинетической энергии. Эта теорема верна для замкнутой системы тел. Поскольку

изменение кинетической энергии тела или системы тел при любом перемещении равно работе равнодействующей всех сил, действующих на тело или систему на этом перемещении.

    Eк - Eк0 = Ap,

где Аp = Rscos α.

Рассмотрим, например, падение тела под действием силы тяжести (рис. 45). Если тело массой m снизилось на Δh = h2 - h1, то работа, совершённая при этом силой тяжести, равна:

    А = Fтяж scos α = -mgΔh.

На рисунке 45 показаны три возможные траектории тела, при движении по которым работа силы тяжести одна и та же: в формуле для расчёта работы силы тяжести фигурирует только изменение высоты Δh. Силы, работа которых не зависит от формы траектории, по которой движется тело, а определяется только начальным и конечным положениями тела, называют потенциальными силами. Таким образом, сила тяжести — пример потенциальной силы. Системы тел, в которых действуют только потенциальные силы, — консервативные системы.

    Рис. 45

<<< К началу      Окончание >>>

 

 

???????@Mail.ru