Главная >> Физика. 10 класс. Базовый уровень. Пурышева

Глава 4. Основы молекулярно-кинетической теории строения вещества

§ 22. Опытное определение скоростей движения молекул

Опыт Штерна

1. Участвуя в непрерывном хаотическом движении, молекулы постоянно сталкиваются между собой, при этом число сталкивающихся частиц в каждый момент времени различно. Поэтому импульсы и скорости частиц постоянно изменяются, и в тот или иной момент времени их значения у разных молекул различны.

Впервые скорости движения молекул газа были измерены в 1920 г. немецким физиком Отто Штерном (1888—1969). Экспериментальная установка, которой пользовался Штерн, состояла из двух цилиндров А и В (рис. 61) с общей осью вращения.

    Рис.61

В стенке цилиндра А была сделана узкая щель С, а вдоль оси цилиндра натянута тонкая платиновая проволока ОО', покрытая слоем серебра. Воздух из цилиндра откачивался. При прохождении по проволоке электрического тока она нагревалась, слой серебра испарялся и внутренний цилиндр заполнялся газом из атомов серебра. Некоторые атомы проходили через щель и оседали на внутренней поверхности цилиндра В напротив щели (рис. 62, а). Осадок имел форму полоски (рис. 63, а).

    Рис. 62

Когда цилиндры приводили во вращение с одинаковой угловой скоростью, атомы серебра осаждались на внутренней поверхности цилиндра В уже не напротив щели, а на некотором расстоянии s от полоски, напылённой при неподвижных цилиндрах (рис. 62, б). За время, которое необходимо атомам серебра, чтобы пролететь расстояние от цилиндра А до цилиндра B, цилиндры успевали повернуться на некоторый угол. При этом толщина полоски была не везде одинакова (рис. 63, б). Это объясняется тем, что атомы серебра имеют разные скорости и им требуется разное время, чтобы долететь до внутренней поверхности цилиндра Б. Чем меньше скорость атомов, тем больше расстояние s, на котором они осядут; чем больше скорость атомов, тем меньше это расстояние.

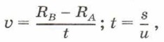
Оказалось, что как «медленных», так и «быстрых» атомов немного. Большая часть из них имеет скорости, близкие к некоторому значению, называемому наиболее вероятной скоростью. Об этом свидетельствует тот факт, что толщина слоя серебра в центре — наибольшая (см. рис. 63, б). Скорость атомов в опыте Штерна может быть рассчитана следующим образом. Если частота вращения цилиндров п, радиус внутреннего цилиндра BА, радиус внешнего цилиндра RB, смещение атомов s, то скорость их движения равна:

где u — линейная скорость точек поверхности цилиндра B.

Так как u = 2πnRB, то

В зависимости от значения s получают разные значения скорости движения атомов.

Из опыта Штерна найдено, что при температуре 120 °С скорости большинства атомов серебра лежат в пределах от 500 до 625 м/с. При изменении условий опыта, например температуры вещества, из которого сделана проволока, получают иные значения скоростей, но характер распределения атомов в напылённом слое не меняется. Отсюда следует, что распределение атомов и молекул по скоростям представляет собой определённую закономерность, характеризующую их движение.

Продолжение >>>

 

 

???????@Mail.ru