Главная >> Физика. 10 класс. Базовый уровень. Пурышева

Глава 6. Свойства газов

Давление идеального газа

В разные моменты времени о стенки сосуда ударяется неодинаковое число молекул, поэтому и давление на стенки сосуда будет различно (рис. 79). Вы знаете, что давление газа измеряют манометром. Возникает вопрос: какое значение давления показывает манометр?

    Рис. 78

Поскольку число молекул, действующих на единицу площади стенки, очень велико, а массы молекул малы, то незначительное изменение их числа не будет заметно сказываться на изменении значения давления и регистрироваться манометром. Поэтому манометр будет показывать среднее давление р, которое имеет вполне определённое значение и при неизменных условиях (массе газа, его объёме и температуре) остаётся постоянным.

Основное уравнение молекулярно-кинетической теории идеального газа

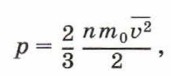
3. Давление газа на стенку сосуда создаётся ударами о неё молекул газа, при которых происходит изменение импульсов молекул и стенки. Очевидно, давление газа на стенки сосуда тем больше, чем больший импульс передают молекулы стенке, а импульс молекулы, как вам известно, зависит от массы молекулы т0 и от скорости её движения и. Поскольку макроскопическое тело состоит из большого числа молекул и они имеют разные скорости, то в формулу давления входит средний квадрат скорости теплового движения молекул

Кроме того, чем больше молекул ударяется о стенку сосуда, тем большее давление оказывает газ на неё. Поэтому в формулу давления газа входит концентрация молекул n, равная числу молекул газа, содержащихся в единице объёма.

Формулу давления идеального газа на стенки сосуда можно вывести математически, однако этот вывод достаточно сложен, поэтому приведём формулу в готовом виде:

    Формула давления идеального газа

Множитель означает, что все направления движения молекул равноправны, и если выбраны три координатные оси, то вдоль каждой из них в среднем движется одинаковое число молекул и проекции среднего квадрата скорости на координатные оси одинаковы. Таким образом, давление идеального газа на стенки сосуда прямо пропорционально массе молекул газа, их концентрации и среднему квадрату скорости теплового движения его молекул.

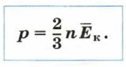
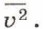
Формулу давления идеального газа на стенки сосуда можно записать в другом виде:

    давления идеального газа на стенки сосуда

где

— средняя кинетическая энергия молекул газа.

Следовательно,

    давление идеального газа

<<< К началу      Окончание >>>

 

 

???????@Mail.ru