Главная >> Физика. 10 класс. Базовый уровень. Пурышева

Глава 6. Свойства газов

§ 30. Уравнение состояния идеального газа (окончание)

Внутренняя энергия идеального газа

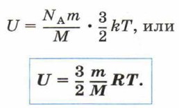
5. Напомним, что молекулы идеального газа не взаимодействуют между собой, поэтому его внутренняя энергия равна только кинетической энергии теплового движения его молекул:

    Рис.

Подставив в эту формулу выражение для средней кинетической энергии молекул и выражение для числа молекул газа запишем:

    формула позволяет рассчитать внутреннюю энергию идеального одноатомного газа

Эта формула позволяет рассчитать внутреннюю энергию идеального одноатомного газа.

    Вопросы для самопроверки

1. Докажите на примерах связь между средней кинетической энергией движения молекул и температурой тела.

2. Каков физический смысл постоянной Больцмана?

3. Какое уравнение называют уравнением состояния идеального газа?

4. Связь между какими параметрами состояния газа выражает уравнение Менделеева—Клапейрона?

5. Каков физический смысл универсальной газовой постоянной? Почему она названа универсальной?

6. Как читается уравнение Клапейрона?

7. От чего зависит внутренняя энергия идеального газа?

    Упражнение 22

1. В баллоне находится газ при температуре 27 °С и давлении 3 • 105 Па. После того как 1/3 газа выпустили из баллона, давление в нём стало равным 1,8 • 105 Па. Определите, какая температура установится в баллоне.

2. Чему равен объём газа при нормальных условиях, если при 50 °С и давлении 1,8 • 105 Па газ занимает объём 0,5 м3?

3. Определите плотность кислорода при температуре 100 °С и давлении 2 • 105 Па.

4. Резиновый шар, содержащий 2 л воздуха, находится при температуре 20 °С и давлении 105 Па. Какой объём займёт воздух, если шар опустить в воду на глубину 10 м? Температура воды 4 °С.

    Ответы

1. 270 К.

2. 0,76 м3.

3. 2,06 кг/м3.

4. 1,35 л.

    Самоконтроль

Выполните в рабочей тетради тренировочный тест 4.

<<< К началу

 

 

???????@Mail.ru