Главная >> Физика. 10 класс. Базовый уровень. Пурышева

Глава 6. Свойства газов

§ 30. Уравнение состояния идеального газа

Средняя кинетическая энергия теплового движения молекул и температура тела

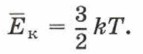
1.Напомним, что средняя кинетическая энергия теплового движения молекул прямо пропорциональна термодинамической температуре:

    Средняя кинетическая энергия

Можно сказать, что температура является мерой средней кинетической энергии теплового движения молекул вещества.

Коэффициент пропорциональности k входящий в формулу, является фундаментальной физической постоянной и носит название постоянной Больцмана. Она показывает, на сколько изменяется средняя кинетическая энергия теплового движения молекул при изменении температуры тела на 1 К.

Подставив выражение для средней кинетической энергии теплового движения молекул в формулу давления идеального газа, получим

    формулу давления идеального газа

Из этого выражения следует, что при одинаковых значениях давления и температуры концентрация молекул различных газов одна и та же.

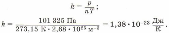
Постоянную Больцмана можно вычислить, зная, что концентрация молекул газа при нормальных условиях, т. е. при температуре Т = 273,15 К и р = 101 325 Па, равна постоянной Лошмидта L= 2,68 • 1025 м-3. Подставив эти значения в формулу давления, получим:

    Постоянную Больцмана можно вычислить

Таким образом, постоянная Больцмана k = 1,38 • 10-23 Дж/К.

Уравнение состояния идеального газа

2. Как вы уже знаете, состояние макроскопической системы характеризуется определёнными параметрами. К ним относятся объём V, давление р, температура Т. При изменении состояния газа изменяются его параметры. Уравнение, которое описывает изменение состояния газа и устанавливает связь между параметрами его начального и конечного состояний, называют уравнением состояния идеального газа.

Учитывая, что концентрация молекул запишем уравнение (1) иначе:

    уравнение состояния идеального газа

Уравнение (2) и есть уравнение состояния идеального газа.

Продолжение >>>

 

 

???????@Mail.ru