Главная >> Физика. 10 класс. Базовый уровень. Пурышева

Глава 6. Свойства газов

§ 38. Работа холодильной машины

Принцип работы холодильной машины

1. В тепловых двигателях работа совершается за счёт энергии, полученной от нагревателя. При этом количество теплоты, полученное от нагревателя, частично идёт на совершение работы, а частично передаётся холодильнику.

Возникает вопрос, как осуществить обратный процесс, т. е. как передать энергию от менее нагретого тела более нагретому. Второй закон термодинамики запрещает такой процесс, если он единственный. Однако он возможен, если совершается за счёт работы внешних сил.

Процесс передачи энергии от холодного тела к горячему происходит в холодильных машинах. Принципиальная схема холодильной установки изображена на рисунке 104. От холодильной камеры количество теплоты Q2 поступает к рабочему телу и при совершении внешними силами работы А нагретому телу передаётся количество теплоты Q1. Таким образом, Q1 = Q2 + А.

    Процесс передачи энергии

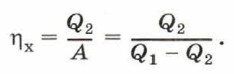
Эффективность холодильной машины определяется возможностью забрать большее количество теплоты от холодильной камеры за счёт меньшей работы внешних сил, т. е. КПД холодильной машины равен:

    КПД холодильной машины

Идеальная холодильная машина работает по обратному циклу Карно. Рабочее тело проходит в этом случае все те состояния, что и в прямом цикле, но только в обратном направлении.

КПД идеальной холодильной машины равен:

    КПД идеальной холодильной машины

Компрессорная холодильная машина

2. Рассмотрим работу компрессорной холодильной машины. В ней в качестве рабочего тела обычно используют пары жидкостей, кипящих при низких температурах: аммиак, фреон и т. п.

Компрессор нагнетает пары аммиака под высоким давлением в змеевик А (рис. 105). При сжатии пары аммиака нагреваются и в сосуде В они охлаждаются водой. Вода при этом получает количество теплоты Q2, а пары аммиака превращаются в жидкость. Из змеевика А аммиак через вентиль поступает в змеевик С (испаритель). Часть аммиака здесь испаряется, и его температура понижается до 10 °С. Из испарителя аммиак отсасывается компрессором.

    Компрессор

Окончание >>>

 

 

???????@Mail.ru